丙酸戊酯结构式

原材料百科_化学结构式搜索_涂料原材料搜索_结构式搜索-找料网
图片尺寸400x400
分子结构
图片尺寸300x249
615-95-2 化学图谱 | dl-丙交酯 | 化学图谱 | 化学云数据库
图片尺寸363x225
2,2,3,3,4,4,5,5,5-九氟甲基丙烯酸戊酯结构式_59006-65-4结构式
图片尺寸400x400
三正硼酸戊酯;tri-n-amylborate (cas 621-78-3) 生产厂家,批发商
图片尺寸421x255
分子结构式
图片尺寸385x419
624-54-4 丙酸正戊酯 cas号624-54-4分子式,结构式,msds,熔点,沸点
图片尺寸300x300
药物化学结构式大全(高清版)
图片尺寸1080x810
图 木质素的3种单体分子结构
图片尺寸1575x1181
丙酸异戊酯结构式
图片尺寸325x227
丙戊酸结构式
图片尺寸312x241
丙酸丙酯结构式
图片尺寸605x375
丙交酯化学石材
图片尺寸600x400
6053-67-4 (9ci)-环戊基氨基磺酸 cas号6053-67-4分子式,结构式,msds
图片尺寸300x300
丙烯酸正丁酯|butyl acrylate|141-32-2|acros|stabilized, 99 %|rg
图片尺寸537x194![(μ3-cc(o)oh)(μ-co)3(η-c5h4ch3)3]*ch2cl2cas:862794-66-9分子式](https://i.ecywang.com/upload/1/img2.baidu.com/it/u=396326442,1523885908&fm=253&fmt=auto&app=138&f=JPEG?w=317&h=360)
(μ3-cc(o)oh)(μ-co)3(η-c5h4ch3)3]*ch2cl2cas:862794-66-9分子式
图片尺寸317x360
丙酸异戊酯
图片尺寸220x220
丙醇结构简式
图片尺寸721x539![w29][化学式^ 阳030][0027] 本发明的多官能丙締酸醋(a)包含两个w上](https://i.ecywang.com/upload/1/img0.baidu.com/it/u=1110093711,297207304&fm=253&fmt=auto&app=138&f=JPEG?w=570&h=500)
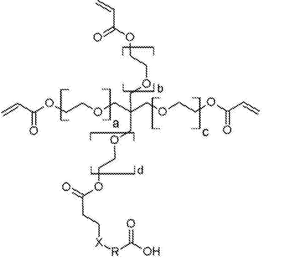
w29][化学式^ 阳030][0027] 本发明的多官能丙締酸醋(a)包含两个w上
图片尺寸980x860
o coh c 丙酮酸激酶 m g 2 o coh choh ad p a tp ch2 烯醇式丙酮酸
图片尺寸1080x810