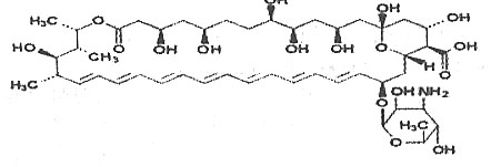
两性霉素B脂质体

济民可信注射用两性霉素b脂质体申报获cde受理
图片尺寸600x600
注射用两性霉素b脂质体
图片尺寸800x800
注射用两性霉素b脂质体(锋克松)
图片尺寸800x800
锋克松注射用两性霉素b脂质体
图片尺寸800x800
注射用两性霉素b脂质体的临床试验
图片尺寸400x300
注射用两性霉素b脂质体在乐城园区实现国内首次使用
图片尺寸480x269
注射用两性霉素b胆固醇硫酸酯复合物
图片尺寸520x452
华北制药注射用两性霉素b价格对比
图片尺寸520x460
锋克松 注射用两性霉素b脂质体被纳入医保甲类还是
图片尺寸350x350
ambisome(安必素)两性霉素b脂质体
图片尺寸560x560
锋克松注射用两性霉素b脂质体有什么样的作用与
图片尺寸484x303
注射用两性霉素b脂质体
图片尺寸400x300
注射用两性霉素b脂质体的配制方法是怎样的
图片尺寸500x375
注射用两性霉素b脂质体的规格
图片尺寸400x300
注射用两性霉素b脂质体安必素(ambisome)使用应该了解哪些最重要的
图片尺寸388x391
全球抗真菌治疗金标准!乐城引进侵袭性真菌病创新药物ambisome03
图片尺寸1080x1467
注射用两性霉素b脂质体
图片尺寸451x151
锋克松注射用两性霉素b脂质体有什么样的作用与
图片尺寸366x215
注射用两性霉素b
图片尺寸500x375
两性霉素b
图片尺寸365x365