丹参酮结构式
![结构式1,6,6-三甲基-6,7,8,9-四氢菲并[1,2-b]呋喃-10,11-二酮丹参酮1](https://i.ecywang.com/upload/1/img0.baidu.com/it/u=3107196121,3470686872&fm=253&fmt=auto&app=138&f=JPEG?w=586&h=480)
结构式1,6,6-三甲基-6,7,8,9-四氢菲并[1,2-b]呋喃-10,11-二酮丹参酮1
图片尺寸586x480
隐丹参酮35825-57-1
图片尺寸400x300
h301丹参酮
图片尺寸261x890
丹参酮 iib结构式
图片尺寸605x375
丹参酮Ⅱa
图片尺寸757x500
丹参酮iia
图片尺寸500x500
隐丹参酮,35825-57-1,结构式
图片尺寸300x250
图文版最强护肤中药精油潜力股丹参精油
图片尺寸1080x1440
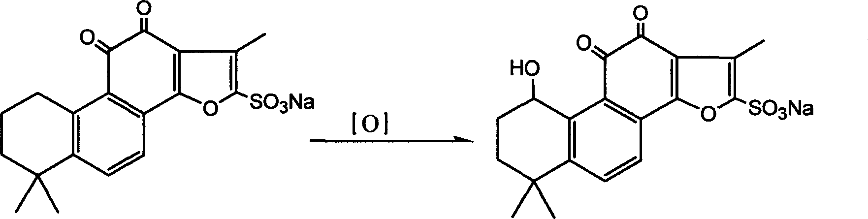
羟基丹参酮Ⅱa磺酸钠及其用途
图片尺寸1763x445
二氢丹参酮 ,20958-18-3,结构式
图片尺寸300x250
丹参酮iia中药化学对照品分子结构图
图片尺寸599x238
丹参酮Ⅱa 丹参提取物结构式图片
图片尺寸605x375
隐丹参酮中药化学对照品分子结构图
图片尺寸545x297
丹参酮甲酯, 18887-19-9, 结构式
图片尺寸248x292
四氢丹参酮 i, 126979-84-8, 结构式
图片尺寸276x254
丹参酮iia磺酸钠中药化学对照品分子结构图
图片尺寸431x286
丹参新酮结构式图片
图片尺寸500x500
二氢丹参酮i
图片尺寸119x104
丹参酮i (cas 568-73-0) 生产厂家分子结构式:1,6-dimethyl-phen
图片尺寸300x250
丹参酮Ⅰ
图片尺寸1541x1465