书法老师求职

书法教师助教求职简历模板
图片尺寸920x1302
急急急,招书法老师,书法爱好者 - 求职招聘 - 江阴论坛
图片尺寸1280x2195
书法老师简介线条灰色简约易拉宝
图片尺寸1024x2560
赋格艺术茶园校区书法班招生啦!
图片尺寸2425x3433
最好的书法老师就是让平凡的生命因书法而不普通
图片尺寸1080x1620
王钦贤雅逸书法师资介绍联系老师:雅逸崂山校区—深圳路175号上课地点
图片尺寸1080x1527
书法教师风采简介宣传褐色简约易拉宝
图片尺寸1024x2560
罗俊明老师的书法进校园聘任证书
图片尺寸4000x3000
把书法老师带回家,砚田手把手教您写字!
图片尺寸580x367
赵汝飞练字之教师书法校本培训
图片尺寸554x369
记这1个结构化万能模板还怕有738道
图片尺寸1080x1439
2017年书法作品参展参赛成果展示
图片尺寸1677x1200
老天奶,这是今天来应聘的书法老师的字05 图1是来应聘那位老师的字
图片尺寸1917x2560
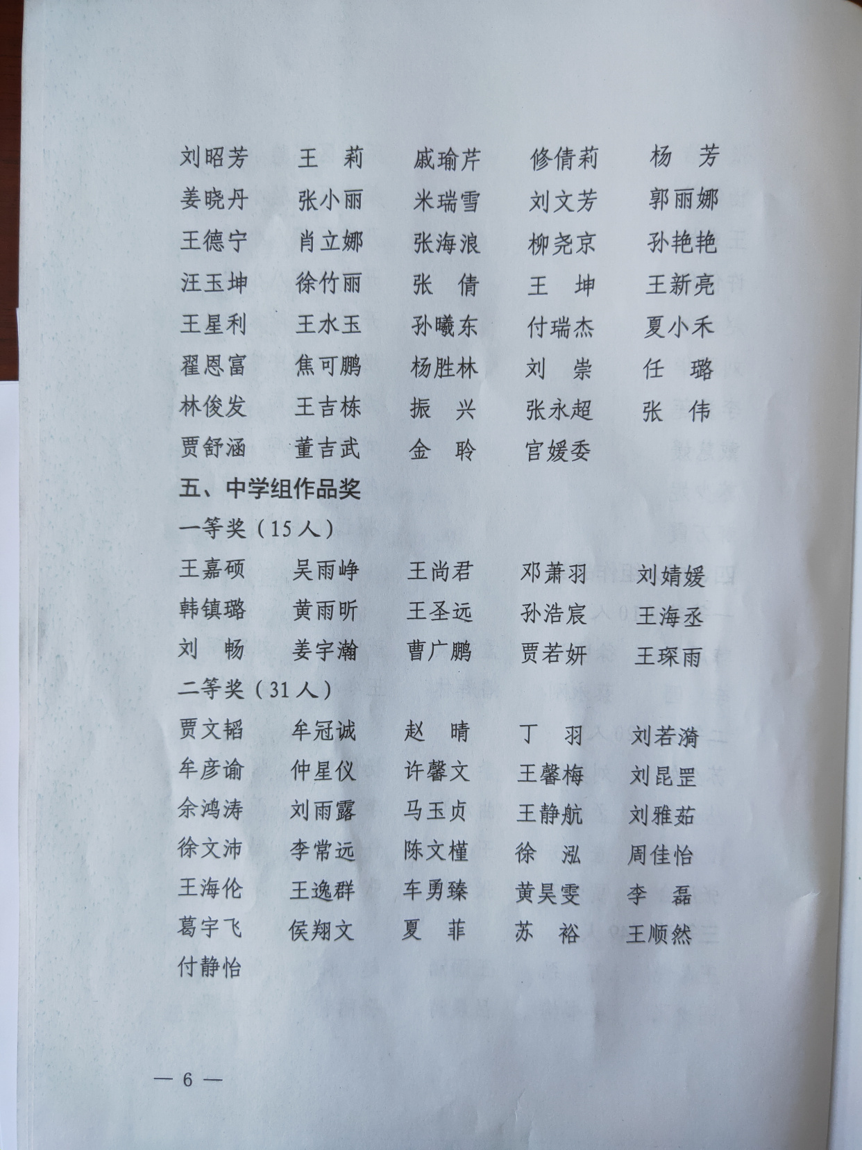
烟台市"青华杯"第三届硬笔书法大赛获奖名单
图片尺寸1242x1656
老天奶,这是今天来应聘的书法老师的字05 图1是来应聘那位老师的字
图片尺寸1440x2560
这楷书水平去应聘书法老师够资格么
图片尺寸2000x2660
书法教师风采简介宣传展示黑金人物易拉宝
图片尺寸1024x2560
不费脑子的工作之书法老师69
图片尺寸1080x1440
书法美术等艺术老师的福音
图片尺寸1080x1441
慈善书法家简明勇教授个人简历
图片尺寸760x1137