二乙酸酐结构式

p>乙酸酐是一种有机物,化学式为c sub>4 /sub>h sub>6 /sub>o sub>3
图片尺寸1076x717
乙酸酐
图片尺寸120x120
图片浏览
图片尺寸91x121
乙二酸酐
图片尺寸220x174
乙酸酐
图片尺寸300x183
溴乙酰的物质的理化常数
图片尺寸300x300
乙酸酐(易制毒)|acetic anhydride|108-24-7|greagent|98%|rg|25kg
图片尺寸782x327
1,1-环己基二乙酸酐结构式图片|106210-02-0结构式图片
图片尺寸605x375
乙酸酐-2,2′-13c2,d6结构式图片
图片尺寸605x375
乙酸酐-丹化科技
图片尺寸630x302
958-24-7乙酸酐112-54-9十二醛共1页1,1-diacetoxydodecane合成
图片尺寸322x154
乙酸酐-2,2-13c2结构式
图片尺寸605x375
二氟乙酸酐|difluoroacetic anhydride|401-67-2|adamas|96% |rg|100g
图片尺寸787x437
冰醋酸中2分子乙酸分子会脱水形成乙酸酐,那么,冰醋酸还算是纯净物吗?
图片尺寸720x450
乙酸酸酐
图片尺寸512x384![[0034] 以实施例1为例其反应方程式如下:[0033] 3)将乙酰化的癸二酸与](https://i.ecywang.com/upload/1/img0.baidu.com/it/u=3783063880,3815890450&fm=253&fmt=auto&app=138&f=JPEG?w=865&h=500)
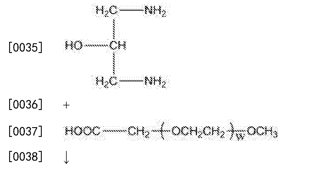
[0034] 以实施例1为例其反应方程式如下:[0033] 3)将乙酰化的癸二酸与
图片尺寸1105x639
乙酸酐
图片尺寸600x600
2氰基乙酸酐
图片尺寸605x375
醋酸酐(乙酸酐)
图片尺寸971x804
氯二氟乙酸酐
图片尺寸300x200