二烯丙基双酚A

22二烯丙基双酚a
图片尺寸300x300
二烯丙基双酚a
图片尺寸2112x2816
山东优质双酚a,优级品双酚a,阻燃剂,防老剂专用,量大价优——泰恩斯
图片尺寸400x400
二烯丙基双酚a
图片尺寸431x235
二烯丙基双酚a
图片尺寸750x750
双酚a 俄罗斯进口聚碳级 长春二烯丙基广州现货 1kg起订
图片尺寸554x509
22二烯丙基双酚acasno1745897
图片尺寸200x300
二烯丙基双酚a厂家生产现货供应
图片尺寸1920x1080
二烯丙基双酚a 烟台二烯丙基双酚a批发 威海二烯丙基
图片尺寸290x259
供应 二烯丙基双酚a 树脂改性剂 bba 含量80以上 厂家直销
图片尺寸567x666
二烯丙基双酚a
图片尺寸310x310
二烯丙基双酚a二缩水甘油醚 环氧值epoxy value:0.38min
图片尺寸1920x1277
双烯丙基双酚a 交联剂 偶联剂 树脂改性材料 双马改性
图片尺寸375x375
优质 二烯丙基双酚a
图片尺寸400x343
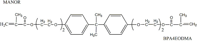
氧化双酚a二甲基丙烯酸酯_乙氧化双酚a二甲基丙烯酸酯_【厂家供应】
图片尺寸672x143
【双马篇】二烯丙基双酚a的应用概况
图片尺寸1568x2321![[0035] 结构式2-2,2 二烯丙基双酚a](https://i.ecywang.com/upload/1/img1.baidu.com/it/u=85574621,1294184691&fm=253&fmt=auto&app=138&f=JPG?w=778&h=312)
[0035] 结构式2-2,2 二烯丙基双酚a
图片尺寸778x312
双酚a(bpa)聚碳级二酚基丙烷80-05-7橡胶助剂现货
图片尺寸1032x1920
邻二烯丙基双酚a速普尔厂家邻二烯丙基双酚a价格优惠
图片尺寸780x750
邻二烯丙基双酚a仓库厂家货源充足直发现货
图片尺寸500x500