二苯乙醇酸

二苯乙醇酸
图片尺寸185x185
二苯乙醇酸
图片尺寸331x353
二苯乙醇酸结构式
图片尺寸250x250
二苯乙醇酸重排
图片尺寸632x318
二苯基乙醇酸
图片尺寸658x312
二苯乙醇酸 /benzilic acid/76-93-7
图片尺寸450x450
二苯乙醇酸甲酯
图片尺寸600x600
二苯乙醇酸重排
图片尺寸468x463
二苯乙醇酸重排
图片尺寸725x424
二苯乙醇酸的生产方法
图片尺寸450x338
二苯乙醇酸重排反应
图片尺寸929x389
benzilic acid rearrangement(二苯基乙醇酸重排)
图片尺寸935x318
有机化学考研常见机理(26)——二苯乙醇酸重排
图片尺寸1920x1080
二苯乙醇酸重排反应
图片尺寸429x253
二苯乙醇酸 1,2,2,6,6-五甲基-3-哌啶基酯
图片尺寸307x215
二苯乙醇酸重排
图片尺寸438x129
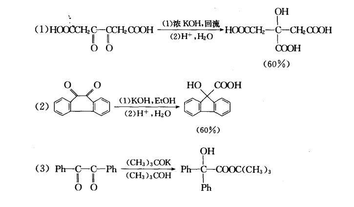
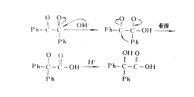
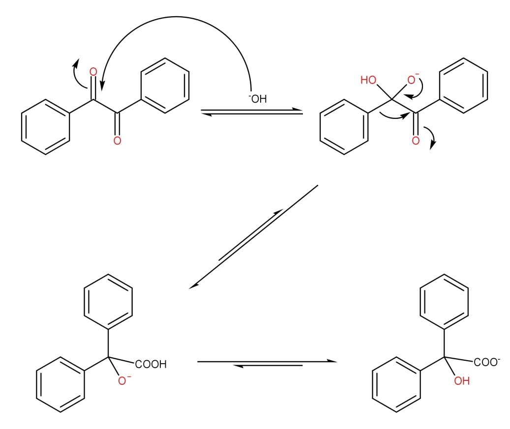
有机人名反应——二苯乙醇酸重排(benzilic重排)
图片尺寸1037x873
亚甲二氧基 附上结构式:上面是亚甲二氧基,下面是亚甲二氧基苯乙醇酸
图片尺寸278x295
二苯乙醇酸benzilicacid
图片尺寸222x227
【人名反应】benzilic (二苯乙醇酸)重排
图片尺寸608x251