二苯基乙醇酸

二苯基乙醇酸
图片尺寸658x312
二苯乙醇酸
图片尺寸185x185
二苯基乙醇酸ppt
图片尺寸1080x810
279 g/cm 熔点: 149-152℃ 中文名称: 二苯乙醇酸;二苯基乙醇酸;α
图片尺寸163x150
二苯乙醇酸 ,99%
图片尺寸300x180
别名:二苯基乙醇酸;diphenylglycolic acid; 线性分子式: (c6h5)2c(oh
图片尺寸415x231
乙醇酸
图片尺寸200x267
有机化学考研常见机理26二苯乙醇酸重排
图片尺寸1920x1080
专题4 烃的衍生物 向苯酚钠溶液中通入co2或加入稀盐酸,又 会生成苯
图片尺寸1080x810
2-苯乙醇|phenethyl alcohol|60-12-8|adamas|98%|rg|100g
图片尺寸726x341
二苯基乙醇酸76937raman光谱
图片尺寸850x510
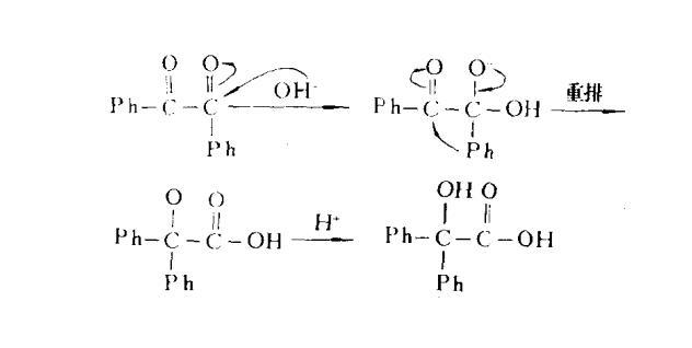
二苯乙醇酸重排
图片尺寸632x318
反应机理苯偶酰通过苯基重排得到二苯基乙醇酸的反应.
图片尺寸929x389
二苯基苯乙醇
图片尺寸605x375
二苯基乙醇酸76937红外图谱ir1
图片尺寸715x553
2propenoicacid2trichloromethyl12ethanediylester
图片尺寸605x375
benzoic acid, 2-(2-ethoxy-2-oxoethoxy)-3-(hexadecyloxy)
图片尺寸605x375
benzilic acid rearrangement(二苯基乙醇酸重排)
图片尺寸935x318
(r)-1-苯基-1,2-乙二醇|(r)-(-)-1-phenyl-1,2-ethanediol|16355-00-3
图片尺寸653x433
二苯乙醇酸的制备
图片尺寸920x1303