二阶行列式

二阶行列式的计算
图片尺寸450x271
线性代数二阶行列式的求解方法
图片尺寸500x241
二阶行列式
图片尺寸293x469
无忧文档 所有分类 高等教育 理学 矩阵的定义 (2)ppt 二阶行列式
图片尺寸1080x810
高代第二章行列式练习题
图片尺寸1080x810
二阶行列式ppt
图片尺寸1080x810
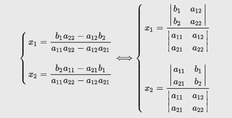
行列式解二元一次方程组
图片尺寸706x282
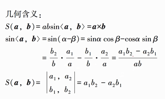
二阶行列式公式的证明2
图片尺寸544x327
展开全部 根据对称性 简化为二阶行列式=1 向左转 向右转
图片尺寸744x992
第二讲 代数余子式n阶行列式
图片尺寸1080x810
9.3《二阶行列式》教案(沪教版高二上)
图片尺寸567x187
线性代数题,计算(n大于等于2)阶行列式.
图片尺寸2560x1920
二阶行列式的代数余子式怎么求
图片尺寸784x513
2-3 行列式计算
图片尺寸1357x959
二阶行列式
图片尺寸479x245
行列式笔记
图片尺寸1080x1440
二阶行列式
图片尺寸572x191
计算n阶行列式 第一行a1 0 0……bn,第二行b1 a2 0……0 0 第n-1行0 0
图片尺寸2560x1440
1-1二阶与三阶行列式ppt
图片尺寸1080x810
3(2)作为判别式的二阶行列式ppt
图片尺寸1080x810