从容不迫的近义词

从从容容的近义词.doc
图片尺寸993x1404
从容的近义词
图片尺寸920x1302
从容的近义词2018(二).docx
图片尺寸1020x1320
从容不迫:不慌不忙,镇静,沉着,形容非常镇静,不慌不忙的样子,它俩是一
图片尺寸1999x2666
从容不迫的反义词
图片尺寸920x1302
从从容容的近义词
图片尺寸920x1302
中国成语故事:从容不迫
图片尺寸1728x1080
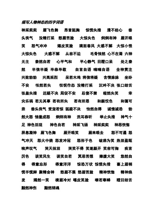
描写人物神态(表情)的四字词 大惊小怪大惊失色大惑不解从容不迫毛骨
图片尺寸496x702
从容的反义词.docx 6页
图片尺寸792x1120
矢志不渝(矢:誓;渝:改变)指立下志愿,绝不改变.
图片尺寸960x1280
教育 语文 人教版小学四年级上册语文第四单元复习要点答案ppt 近义词
图片尺寸1080x810
成语从容不迫释义
图片尺寸550x365
从容不迫的意思是什么
图片尺寸843x625
形容花的四字词语,形容花盛开的四字词语
图片尺寸993x1404
从容不迫的意思是什么
图片尺寸600x350
(从容不迫的意思)
图片尺寸489x486
cóng róng bù pò繁体:従容不迫结构:联合式五笔:wpgr近义词:从容
图片尺寸484x364
关于有关从容不迫的近义词从容不迫的近义词可下载
图片尺寸800x1036
大惑不解大惊小怪大惊失色大惑不解从容不迫毛骨悚然 496_702竖版 竖
图片尺寸496x702
友情的近义词(友情的近义词怎么写)
图片尺寸920x1191