伯胺结构式图片

这道大学有机化学题 想知道这个答案的原因是?
图片尺寸630x212
二十二烷基伯胺
图片尺寸200x119
伯胺
图片尺寸300x300
chapter14 有机含氮化合物ppt
图片尺寸1080x810
氢化牛脂胺伯胺含量98
图片尺寸500x500
十二烷基伯胺|dodecanamine|124-22-1|adamas|98% |rg|100g
图片尺寸586x243
二,伯胺是几级胺1,伯胺是一级胺,胺是烃基衍生
图片尺寸600x400
药物化学丨镇静催眠药及抗焦虑药
图片尺寸303x166
求助一个伯胺与卤代烷单取代的反应
图片尺寸693x305
物的硝基还原反应鉴于在许多生物活性化合物中都可以看到脂肪族伯胺
图片尺寸455x174
脂肪伯胺的合成方法ppt
图片尺寸1080x810
boc-胺结构式图片
图片尺寸605x375
药物分析对氨基苯甲酸酯等局麻药
图片尺寸1080x1440
第07章 芳酸类药物的分析ppt
图片尺寸1080x810
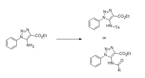
有机 杂环伯胺的保护 想对三氮唑上的伯胺进行保
图片尺寸472x253
百化商城-试剂一站式采购平台,现货品种超过100000 ,最优价格,最优
图片尺寸500x500
化学所在不对称仿生伯胺催化领域取得系列新进展
图片尺寸600x233
清华大学罗三中课题组:手性伯胺的"1 x"协同催化不对称转化
图片尺寸1323x871
北京启维益成科技有限公司
图片尺寸960x893
求仲胺和环氧的开环加成反应
图片尺寸482x278