作品梗概作文

六年级下优秀作文《爱丽丝漫游奇境》梗概.#创作灵感 #作文 - 抖音
图片尺寸1440x2046
六年级写作品梗概作文范文
图片尺寸920x1302
六年级第二单元课内作文《写作品梗概》500字
图片尺寸960x1280
六年级第二单元课内作文《写作品梗概》500字
图片尺寸960x1280
哈利波特与密室故事梗概作文
图片尺寸920x1302
六年级写作品梗概,学生习作《童年》梗概
图片尺寸960x1280
《爱丽丝梦游仙境》梗概 小学作文|优秀范文 字数:541字 020202
图片尺寸960x1280
《汤姆·索亚历险记》梗概作文
图片尺寸920x1302
骑鹅旅行记节选故事梗概作文
图片尺寸920x1302
秘密花园梗概600字作文_第1页
图片尺寸2209x3123
写作品梗概,习作《爱丽丝漫游奇境记》梗概
图片尺寸960x1280
《小王子》故事梗概作文500字
图片尺寸920x1302
6年级下册第2单元作文《小王子梗概》 96 98小呆鱼95 93
图片尺寸960x1280
六年级下册作品梗概作文范文
图片尺寸920x1302
《百万英镑》故事作文梗概
图片尺寸920x1302
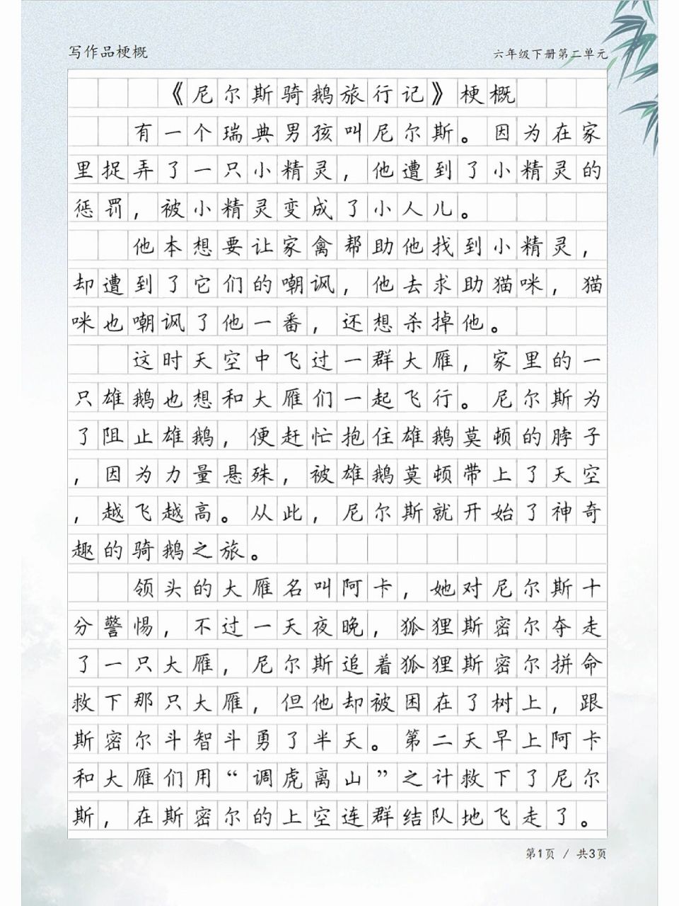
写作品梗概:习作《尼尔斯骑鹅旅行记》梗概
图片尺寸960x1280
《草房子》梗概,六年级写作品梗概习作范文
图片尺寸960x1280
六年级爱丽丝梦游仙境作品梗概作文5篇
图片尺寸920x1302
小学生六年级下册习作二--写作品梗概 《鲁滨孙漂流记》梗概
图片尺寸960x1280
写作品梗概六年级第二单元作文400字
图片尺寸920x1302