依托泊苷胶囊说明书

泊瑞(依托泊苷软胶囊)--药品|价格|软胶囊|药品说明书|包装|处方药
图片尺寸900x2358![依托泊苷胶囊 25mg*40粒/盒[价格,多少钱,功效与作用,说明书]_山东省](https://i.ecywang.com/upload/1/img2.baidu.com/it/u=2576569876,3633892414&fm=253&fmt=auto&app=138&f=JPEG?w=500&h=500)
依托泊苷胶囊 25mg*40粒/盒[价格,多少钱,功效与作用,说明书]_山东省
图片尺寸800x800
依托泊苷胶囊价格,说明书,功效,作用_160大药房
图片尺寸790x558
拉司太特(依托泊苷胶囊)说明书_价格_副作用_寻医问药药品网
图片尺寸800x800
拉司太特(依托泊苷胶囊) 25mg*40粒
图片尺寸800x800
依托泊苷胶囊
图片尺寸800x800
威克依托泊苷软胶囊_说明书_价格_作用_护生堂大药房
图片尺寸790x1176
依托泊苷联合顺铂方案治疗小细胞肺癌87 例
图片尺寸1490x2094
依托泊苷软胶囊价格对比威克
图片尺寸520x390
精品课件中枢神经系统肿瘤化疗方案山东省肿瘤医院陶荣杰团队
图片尺寸690x720
拉拉司太特胶囊效果是不错的,司太特依托泊苷胶囊的服用方法是一般
图片尺寸673x530
一线治疗ep方案:e,依托泊苷(vp-16):100 mg/m2,d1-3;p,顺铂75 mg/m2
图片尺寸1079x735
拉司太特 依托泊苷软胶囊 25mg*40粒【价格 说明书 作用 效果 多少钱
图片尺寸380x380
依托泊苷胶囊
图片尺寸800x800
求依托泊苷胶囊
图片尺寸826x1102
【拉司太特】依托泊苷软胶囊 价格061860.
图片尺寸607x377
评价
图片尺寸750x750
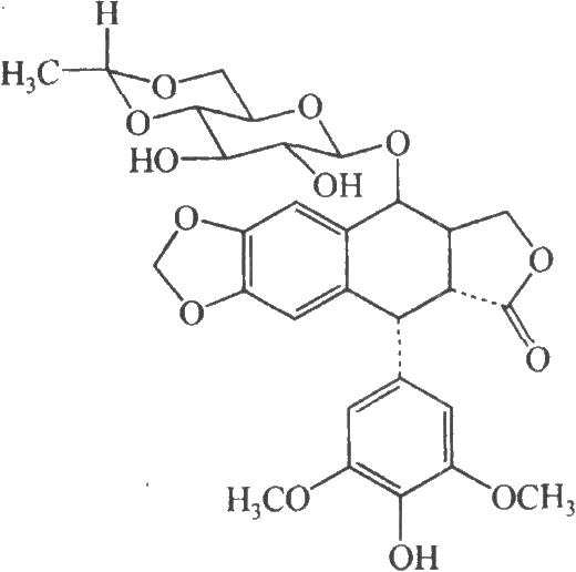
依托泊苷_依托泊苷的药典标准,说明书_医学百科
图片尺寸520x516![泊瑞(依托泊苷软胶囊)处方药医保乙类[功能主治]主要用于治疗小细胞](https://i.ecywang.com/upload/1/img2.baidu.com/it/u=232814832,2346294379&fm=253&fmt=auto&app=138&f=JPEG?w=480&h=324)
泊瑞(依托泊苷软胶囊)处方药医保乙类[功能主治]主要用于治疗小细胞
图片尺寸480x324
依托泊苷软胶囊价格对比拉司太特
图片尺寸520x390