信息论状态转移图

状态迁移图法
图片尺寸1426x791
3-杜冕-状态迁移图流程图作业
图片尺寸768x404
软件行为模型状态转换图
图片尺寸2056x1222
图28 定点转浮点格式状态转移图
图片尺寸1148x502
状态迁移图应用案例二
图片尺寸556x353
图 7 pe 模块主状态转移图
图片尺寸742x447
软件测试—状态迁移图测试用例设计方法
图片尺寸552x395
状态转移图
图片尺寸661x333
信息论马尔科夫信源ppt
图片尺寸1080x810
图 3-状态马尔可夫链的状态
图片尺寸1575x679
i2c状态转移图
图片尺寸872x551
plc 5章 状态转移图及编程方法ppt
图片尺寸1080x810
软件测试—状态迁移图测试用例设计方法
图片尺寸640x284
这是信息论基础课程的第五讲主题,马氏链是一种特殊的马尔科夫过程
图片尺寸3264x2448
apb状态转移图
图片尺寸1070x976
帧解析模块的状态转移图
图片尺寸1056x571
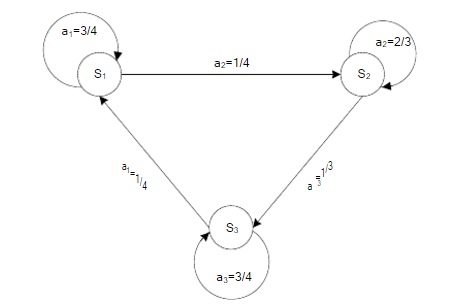
一个二元一阶马尔可夫信源的状态转移图如图3.6所示. 计算当p12=0.
图片尺寸469x306
状态转移图
图片尺寸489x380
马尔可夫状态转移图
图片尺寸443x378
系统的状态转移图
图片尺寸510x199