偏态系数

三,形态参数 1,偏态系数 cs (x i x)3 偏态系数 n 2,峰度
图片尺寸1080x810
偏态示例图
图片尺寸1280x720
偏态系数公式
图片尺寸570x228
p>表示变量概率分布对称性和分布方向的相对指标,也称偏态系数,代表
图片尺寸1194x729
偏态系数
图片尺寸270x478
分布进行进一步的特征描述,常见的是用于正态分布的两个指标偏度系数
图片尺寸628x317
峰度系数 0且偏度系数 0,所以这些用户消费数据呈现为平阔峰式正偏态
图片尺寸965x631
1.偏态系数
图片尺寸588x222
数据面试题:正态分布,偏态分布及峰态分布 - cjzhaosimons - 博客园
图片尺寸957x590
偏度与峰度的正态性分布判断
图片尺寸715x299
偏态系数的取值为负数时,表示数据为负偏态,或左偏态.
图片尺寸592x331
偏态分布
图片尺寸560x420
最右边的那张图就是正偏态的.
图片尺寸507x218
偏度系数
图片尺寸629x195
数据科学统计学什么是偏度
图片尺寸768x290
频数分布有正态分布和偏态分布之分.
图片尺寸690x405
exploratory data analysis
图片尺寸565x433
低利率意味着什么专
图片尺寸854x591
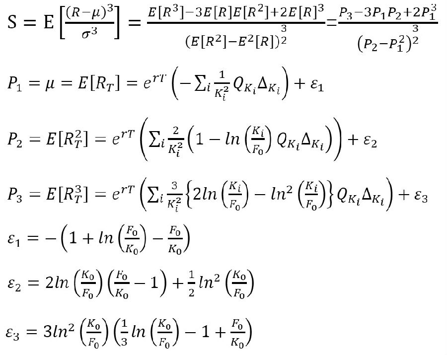
白糖期权skew指数在风险管理中的运用
图片尺寸900x715
mysql表的手动更新统计分析记录
图片尺寸1688x818