偶然公式

偶函数加偶函数是什么函数
图片尺寸640x368
为了你的爱情公式.
图片尺寸3120x4160
函数的奇偶性的经典总结归纳
图片尺寸700x539
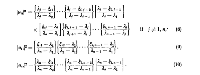
也是非常重要的一种离 散型概率分布,现实世界中许多偶然现象都
图片尺寸893x580
剧情反转天才陶哲轩与三个物理学家发现的公式翻车了
图片尺寸778x294![自己偶然刷到的,觉得很有用,分享给大家,有需要的可以拿走[紫色心形r]](https://i.ecywang.com/upload/1/img2.baidu.com/it/u=3077681528,1817865060&fm=253&fmt=auto&app=138&f=JPEG?w=500&h=666)
自己偶然刷到的,觉得很有用,分享给大家,有需要的可以拿走[紫色心形r]
图片尺寸1080x1439
数学家们是如何发现哪个公式是它自身的导数积分的这是故意的还是偶然
图片尺寸455x290![城市测量规范 [附条文说明] cjj/t8-2011](https://i.ecywang.com/upload/1/img1.baidu.com/it/u=3360306924,409469912&fm=253&fmt=auto&app=138&f=GIF?w=422&h=177)
城市测量规范 [附条文说明] cjj/t8-2011
图片尺寸422x177
偶然发现这小公式有点小倔强#23考研 #我的考研 #考研数学 #我的
图片尺寸1080x1439
kaiser提出近似计算单通带,单阻带滤波器长度m的一个简单公式
图片尺寸394x159
按电磁辐射强度的理论计算公式s功率密度p
图片尺寸558x463
绝非偶然之搞钱万能公式.1,赚钱等于 =项目 套路 运营 2 - 抖音
图片尺寸1242x1660
试了试手写数学公式,随手写了几个字,竟然一字不差的都识别出来了,这
图片尺寸640x1351
数学家们是如何发现哪个公式是它自身的导数积分的这是故意的还是偶然
图片尺寸462x333
数学满分学霸直言:满分不是偶然,只因"嚼碎"这份资料!
图片尺寸517x791
他是印度数学天才发明3000多个公式从不证明意外揭开黑洞奥秘
图片尺寸500x384
测量误差的基本理论
图片尺寸518x176
(nt)单独拿出来与傅里叶变换的后半部分相乘得到:话不多说,先上公式
图片尺寸833x373
偶然正确性测试用例识别方法和软件错误定位方法技术
图片尺寸1000x579
偶然误差的正态分布规律(高斯分布) (1)有界性:偶然误差的绝对值不能
图片尺寸1080x810