全氟聚醚结构式

全氟聚醚
图片尺寸1177x318
ht70(订货以英文名为准)别名:全氟聚醚;全氟聚醚cas:69991-67-9分子式
图片尺寸600x600
九碳全氟聚醚硅氧烷, 36148-15-9, 结构式
图片尺寸600x197
全氟聚醚基表面活性剂结构式图片|1132693-87-8结构式图片
图片尺寸605x375
全氟聚醚yr-1800结构式图片
图片尺寸605x375
全氟聚醚fpe-103
图片尺寸474x471
全氟聚醚,poly(1,1,2,3,3,3-hexafluoro-1-propene)
图片尺寸421x385
全氟聚醚酰氟结构式图片|65208-35-7结构式图片
图片尺寸605x375![[0010][0009] 具有式i所示结构特征的全氟聚醚类氟碳表面活性剂,通过](https://i.ecywang.com/upload/1/img0.baidu.com/it/u=1039695337,933718375&fm=253&fmt=auto&app=138&f=JPEG?w=813&h=500)
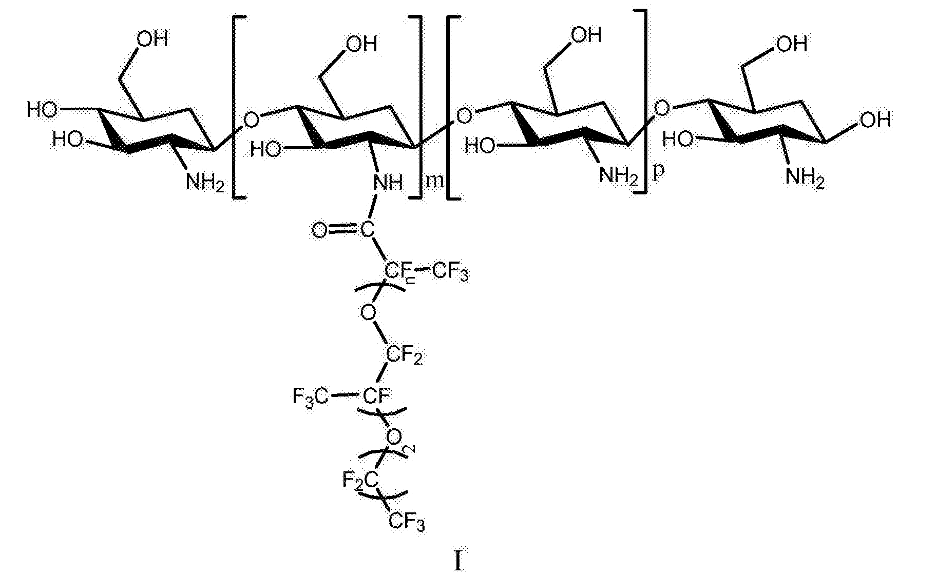
[0010][0009] 具有式i所示结构特征的全氟聚醚类氟碳表面活性剂,通过
图片尺寸1825x1123
全氟聚醚的合成
图片尺寸358x259
国产氟油替代苏威杜邦氟油 含氟润滑油氟硅油 全氟聚醚油生产厂家
图片尺寸598x197
全氟聚醚羧酸铵
图片尺寸715x267
具有全氟聚醚链段和聚二有机硅氧烷链段的共聚物
图片尺寸621x247
光固化应用中的含氟化合物(三):采用全氟聚醚和聚乙二醇制作光学透明
图片尺寸640x245
光固化应用中的含氟化合物(三):采用全氟聚醚和聚乙二醇制作光学透明
图片尺寸640x460
聚 醚npe-108结构式图片|121809-82-3结构式图片
图片尺寸605x375
cn206778427u_一种全氟聚醚冷冻系统的反应釜结构有效
图片尺寸766x1000
全氟聚醚cas号:60164-51-4 品牌:阿尔法(郑州)河南包装规格:100g;250g
图片尺寸300x300
全氟聚醚,全氟醚橡胶,氟氯碳油
图片尺寸441x177
具有全氟聚醚链段和聚二有机硅氧烷链段的共聚物
图片尺寸603x326