共聚物结构式

苯乙烯-马来酸酐共聚物
图片尺寸927x475
丙烯酸-丙烯酸酯共聚物
图片尺寸768x763
聚乳酸-羟基乙酸共聚物plga
图片尺寸372x239
,又称聚苯乙烯丁二烯共聚物
图片尺寸996x676
环烯烃共聚物
图片尺寸601x400
聚氧乙烯聚氧丙烯嵌段共聚物
图片尺寸400x420
环氧丙基二亚乙基三胺共聚物
图片尺寸605x375
用于提高高凝稠油流动性能的多元共聚物
图片尺寸1094x487
图片尺寸415x303
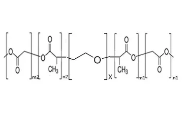
pla-peg聚乳酸-聚乙二醇共聚物在药物传递系统中的应用
图片尺寸512x247
peg-plga peg聚乳酸羟基乙酸共聚物 peg-plga mw:2000
图片尺寸712x310
chloride)简称pvdc,偏氯乙烯的均聚物和共聚物习惯上称为莎纶树脂,其
图片尺寸952x873
立构嵌段共聚物
图片尺寸541x412
统计共聚物中,两种结构单元的排列符合某种统计规律
图片尺寸789x633
glucose-peg-plga,葡萄糖修饰聚乙二醇聚乳酸羟基乙酸共聚物
图片尺寸640x551
两亲性主要成分:peo/peg主链结构:二嵌段共聚物分子式:
图片尺寸459x272
苯乙烯-甲基丙烯酸酯的共聚物结构式图片
图片尺寸605x375
不同分子量的plga(聚乳酸-羟基乙酸共聚物)性质和应用
图片尺寸1242x932
多嵌段共聚物
图片尺寸838x471
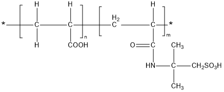
2-丙烯酰胺-2-甲基丙磺酸共聚物的性能与用途
图片尺寸437x180