刀切法jackknife

available for sale or trade
图片尺寸1600x1068
camping outdoor multi tool jackknife - buy campi
图片尺寸734x601
7 jackknife (刀切法)
图片尺寸758x170
csgo皮肤科普原版刀介绍2
图片尺寸1335x1000
jackknife法和bootstrap法自助法与刀切法
图片尺寸1356x802
801115-20190619145715925-2143133456.png
图片尺寸1000x731
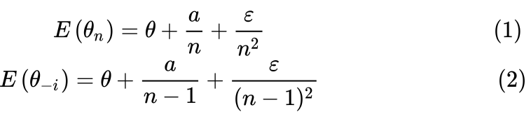
【正文】 如偏差估计53jackknife不适合的场合87统
图片尺寸800x600
jackknife法和bootstrap法自助法与刀切法
图片尺寸1428x580
jackknife法和bootstrap法自助法与刀切法
图片尺寸1438x692
jackknife法和bootstrap法自助法与刀切法
图片尺寸1430x706
如何在stata中用jackknife刀切法检验logistics模型就是
图片尺寸640x282
bootstrap和刀切法(jackknife)经典授课讲义(20190903122936).pdf
图片尺寸972x729
bootstrap及jackknife刀切法中文讲义ppt
图片尺寸1080x810
bootstrap及jackknife刀切法中文讲义ppt
图片尺寸1080x810
刀切法重采样jackknife resampling(大折刀法)
图片尺寸289x336
bootstrap及jackknife刀切法中文讲义ppt
图片尺寸1080x810
1 如何用自助法或刀切法估计偏差,方差?
图片尺寸382x409
csgo皮肤科普原版刀介绍2
图片尺寸1280x800
bootstrap及jackknife刀切法中文讲义ppt
图片尺寸1080x810
bootstrap及jackknife刀切法中文讲义ppt
图片尺寸1080x810