分支图软件

用户版app功能分支图
图片尺寸1272x735
3.1 功能分支
图片尺寸1280x1899
git分支与提交规范
图片尺寸2254x968
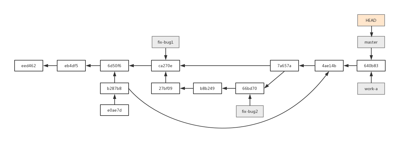
就是在开发每个功能时都应该创建一个独立的分支而不只是使用主分支
图片尺寸1222x716
分支管理 序号 分支名称 分支用途 分支说明 1 master 生产环境的稳定
图片尺寸1460x783
git由浅入深之分支管理
图片尺寸1299x552
隐藏分支
图片尺寸653x429
autohotkey各分支演进图
图片尺寸3465x2429
思维导图彩虹分支功能
图片尺寸750x450
git操作汇总
图片尺寸1209x682
git开发分支管理规范
图片尺寸603x339
需要经常更新## master分支:-master-main : 云平台软件的主分支
图片尺寸5722x3006
word中smartart图形添加分支技巧
图片尺寸500x311
tbd flow是arrus公司软件研发部门从2015年开始一直沿用的git分支
图片尺寸802x466
无插件科技感图文地球分类分支数据模块板块
图片尺寸1024x1780
git 分支合并策略
图片尺寸640x624
橙色169宽屏微立体横向逻辑关系ppt分支图
图片尺寸780x439
git 最佳实践:分支管理
图片尺寸634x552
git分支合并选择
图片尺寸1050x744
git分支branch
图片尺寸1857x885