初中题目数学题

您当前的位置:>首页>数学>精选试题>初中数学>初三数学>九上数学期中>
图片尺寸1586x2244
全国初中数学竞赛试题1
图片尺寸920x1300
初中八年级学习教学上册的数学第二章实数测试卷试题.docx 28页
图片尺寸1594x2255
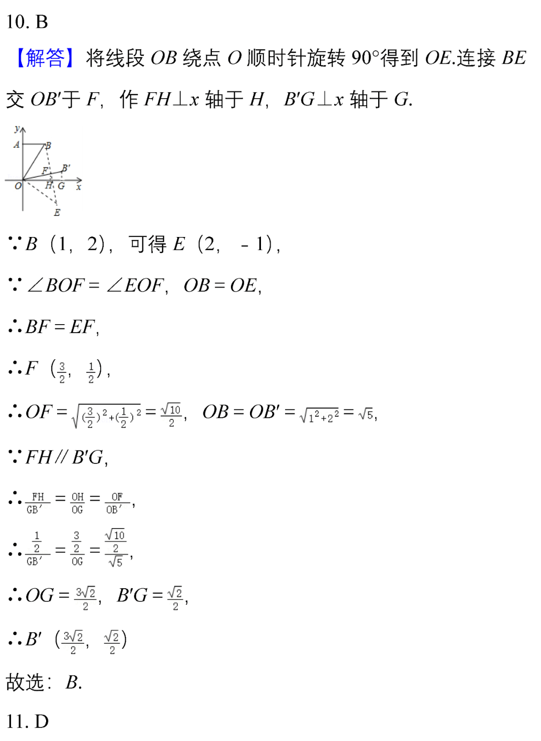
2015初中数学模拟试题
图片尺寸920x1302
2023年新疆中考数学试题,大家看看难 - 抖音
图片尺寸1080x1445
徐州树德中学初三数学培优试题需要的收藏吧!#创作灵感 #数学 - 抖音
图片尺寸1440x2748
上海市存志中学2022年九年级数学第一学期期末质量检测试题含解析
图片尺寸1240x1754
中考数学:初中数学40道几何中考试题解析汇总(收藏)
图片尺寸1080x1527
初中数学#七年级上期末复习题一
图片尺寸690x1190
初三数学中考专项化简求值练习题
图片尺寸920x1302
福建省泉州实验中学2023-2024学年七年级下学期期中数学试题
图片尺寸640x905
省长春市榆树市第二实验中学数学七年级第一学期期末监测试题含解析
图片尺寸1240x1754
八年级数学上册期末试题(含答案).docx 6页
图片尺寸1594x2257
2025届江西省宜春市第九中学数学七年级第一学期期末质量检测试题含
图片尺寸1240x1754
【初中数学】选择,填空经典试题汇编50题,复习必做,建议收藏
图片尺寸1080x1479
初中数学八年级勾股定理练习题
图片尺寸920x1302
【初中数学】选择,填空经典试题汇编50题,复习必做,建议收藏
图片尺寸1080x1506
【初中数学】选择,填空经典试题汇编50题,复习必做,建议收藏
图片尺寸1080x1528
2024年兰州市初中学业水平考试数学试题解析(答案详解)
图片尺寸640x865
中学七年级数学上册2整式复习测试题无答案新人教版试题doc
图片尺寸800x1131