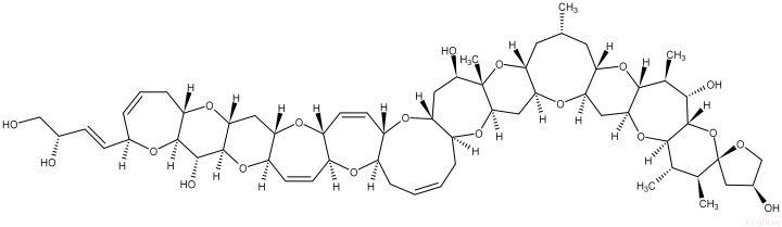
刺尾鱼毒素结构式

刺尾鱼毒素结构式
图片尺寸1575x1238
刺尾鱼毒素——天然毒素"王中王"
图片尺寸720x263
少了很多生物毒素 举个例子,最大的次级代谢产物maitotoxin刺尾鱼毒素
图片尺寸1783x1280
刺尾鱼毒素结构卡其霉素和抗体合成抗体药物复合物自1828年有机合成
图片尺寸1080x561
手性中心繁多的有机分子,例如岩沙海葵毒素和刺尾鱼毒素
图片尺寸1080x652
海葵毒素
图片尺寸707x740
2.刺尾鱼毒素
图片尺寸440x330
id=20211014093527雪卡毒素,又称西加毒素,与鱼刺尾鱼毒素相似,也是
图片尺寸720x209
日本刺尾鱼
图片尺寸640x412
而刺尾鱼毒素是天然毒素中最强的一种,大约是黄金箭毒蛙的1/10,主要会
图片尺寸431x234
刺尾鱼水族箱里的吊类鱼为什么会有攻击行为
图片尺寸320x240
【rlyl物种说】今日--黄翼刺尾鱼(yellowfin surgeonfish)
图片尺寸590x408
日本刺尾鱼原产自太平洋西部带有手术刀般的尖刺
图片尺寸600x400
刺尾鱼有毒吗刺尾鱼毒素堪称箭毒蛙的110心脏毒素
图片尺寸600x400
刺尾鱼毒素——天然毒素"王中王"
图片尺寸600x400
刺尾鱼
图片尺寸290x217
id=20211014093527雪卡毒素,又称西加毒素,与鱼刺尾鱼毒素相似,也是
图片尺寸720x405
这个是白面刺尾鱼还是七彩吊
图片尺寸362x220
拟刺尾鱼
图片尺寸575x383
新石房蛤毒素,β-n-甲氨基-l-丙氨酸,刺尾鱼毒素,雪卡毒素/西加毒素
图片尺寸1279x1279