前趋图例题

前趋图
图片尺寸1186x704
用信号量描述前趋图
图片尺寸2500x1667
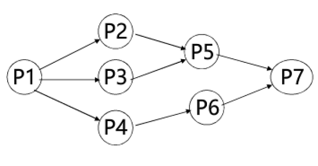
假设系统中进程p={}p={p1,p2,p3,p4,p5,p6,p7,p8},且进程的前趋图如下
图片尺寸565x334
前趋图
图片尺寸624x325
中文语法难教快用语法可视化课件来帮你
图片尺寸1080x809
控制和同步 计算机操作系统自测题(ppt) 11,画出下面4条语句的前趋图
图片尺寸1080x810
计算机操作系统1讲课讲稿ppt141页
图片尺寸1152x864
s1 s3 s2 图2-4 前趋图 s4
图片尺寸1080x810
在这里插入图片描述
图片尺寸751x353
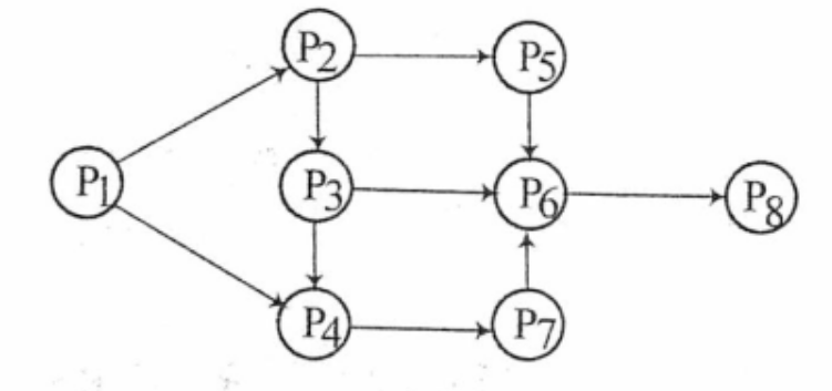
这种题型经常考到将前趋图转换为pv操作的形式其实不
图片尺寸1280x771
相关的语句序列如下
图片尺寸571x313
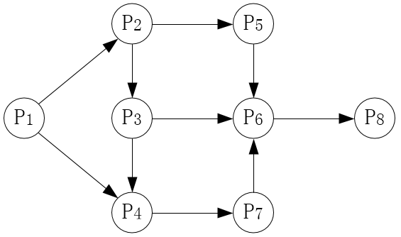
进程p1,p2,p3,p4,p5和p6的前趋图如下所示: 若
图片尺寸589x255
pv操作v出p入1例题死锁进程管理是操作系统的
图片尺寸1155x634
surface area
图片尺寸1589x1547
具有九个节点的前前趋图
图片尺寸952x701
例题讲解【2017下】7.
图片尺寸356x518
day5软考备考前趋图
图片尺寸1080x540
简单计算机操作系统pv操作求步骤
图片尺寸440x316
1 图简介在数据的逻辑结构d=(kr)中,如果k中结点对于关系r的前趋和后
图片尺寸2992x2992
图的每个节点有任意多个前趋和后继.图分为有向图和无向图.
图片尺寸1200x822