前n项和公式

常用数列前n项和公式汇总
图片尺寸640x480
以上介绍了数列求和的基本基本求法和技巧:7415公式法7415
图片尺寸1080x1382
4.2等比数列前n项和公式ppt
图片尺寸1080x810
等比数列前n项和的公式 课件ppt
图片尺寸1080x810
5等比数列前n项和的性质ppt
图片尺寸1080x810
常见的数列前n项和公式
图片尺寸720x608
数列的这些公式你记住了么?
图片尺寸562x496
(2)理解等差数列的概念,掌握等差数列的通项公式与前n项和公式,并能
图片尺寸640x422
课堂小结:重点回顾如何运用数列前n项和公式求解数列通项公式,并判断
图片尺寸516x321
【每天涨2分】高考数学:吃透这4组公式,轻松搞定各种数列难题!
图片尺寸576x556
等差数列前n项和公式的特点是二次函数且没有常数项,那等比数列前n项
图片尺寸294x238
数列前n项和的求法总结
图片尺寸920x1302
等比数列及等比数列前n项和性质证明
图片尺寸1080x1398
高中数学《等比数列的前n项和公式》教案
图片尺寸4196x5896
422第一课时等差数列的前n项和公式课件共31张ppt
图片尺寸860x484
等差数列等比数列前n项和公式总结
图片尺寸383x290
数学:2.3.2《等比数列前n项和》课件(1)(新人教b版必修5)ppt
图片尺寸1080x810
已知数列an的通项公式an=-2n 11,如果bn=|an|(n∈n),求数列bn的前n
图片尺寸772x592
求通项公式an 2.设bn=2∧n,求(anbn)的前n项和
图片尺寸1030x645
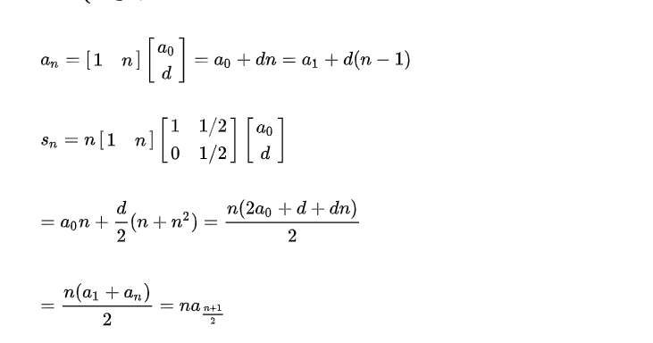
公式中首项为a1,末项为an,项数为n,公差为d,前n项和为sn.
图片尺寸731x384