劳斯判据

三,劳斯判据
图片尺寸1142x669
劳斯(routh)判据
图片尺寸722x549
劳斯判据(二阶情形与特殊情形分析)
图片尺寸708x383
关于劳斯判据的简单整理
图片尺寸1536x2048
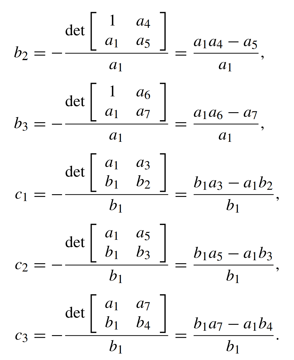
劳斯判据的阵列式系数能不用行列式求吗?
图片尺寸780x1052
6-劳斯判据ppt
图片尺寸1080x810
劳斯判据ppt
图片尺寸1080x810
3 劳斯稳定性判据
图片尺寸1734x1431
劳斯(routh)判据
图片尺寸738x530
劳斯(routh)判据
图片尺寸647x494
自动控制原理,劳斯判据中的一个小问题
图片尺寸1127x953
劳斯判据总结
图片尺寸920x1302
学习劳斯判据
图片尺寸1179x702
非第一种劳斯判据的特殊情况
图片尺寸1345x725
a1如图a1系统用劳斯判据判别系统的稳定性.doc
图片尺寸792x1120
劳斯(routh)判据
图片尺寸654x503
6分钟弄懂劳斯稳定判据
图片尺寸2767x1728
劳斯判据例题
图片尺寸920x1302
劳斯(routh)判据
图片尺寸660x489
3 劳斯稳定性判据
图片尺寸991x1216