勾股数有哪些

100以内勾股数 常见100以内勾股数,建议收藏拿走
图片尺寸960x1280
以内勾股数表
图片尺寸920x1303
常见勾股数(整理).pptx 4页
图片尺寸952x1347
常用勾股数组
图片尺寸920x1303
94勾股数扩大或缩小相同的倍数,仍然是勾股数! 04在直角三角形中
图片尺寸1080x1920
100以内勾股数表
图片尺寸496x702
常用勾股数:熟记 3,4,5 5,12,13 6, 8, 7,24,25 8,15,17 9,12,15
图片尺寸1080x810
编写程序求出100以内的所有勾股数,所谓勾股数是指满足条件a2 b2=c2(a
图片尺寸419x350
100以内勾股数表 - 百度文库
图片尺寸496x702
三角函数值表及常用的勾股数
图片尺寸429x336
常用的勾股数有哪些
图片尺寸1860x2631
常见的勾股数及公式 武安市黄冈实验学校翟升华搜集整理 我们知道
图片尺寸496x702
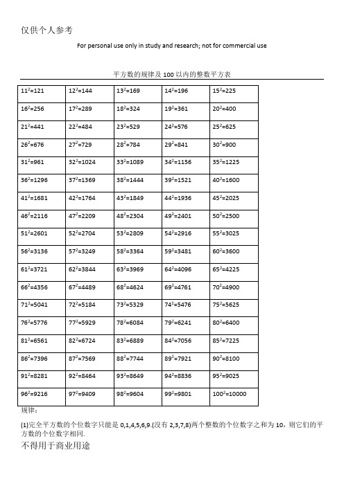
勾股数的规律
图片尺寸920x1302
100以内勾股数表 - 百度文库
图片尺寸495x700
勾股定理
图片尺寸205x223
常见勾股数有哪些常见勾股数组合及表详解
图片尺寸1080x1179
世界上第一次给出勾股数通解公式的是我国古代数学
图片尺寸1394x1339
勾股数
图片尺寸816x295
100以内的平方数,勾股数,开平方等,掌握好了这些数,对于计算能力的
图片尺寸1080x1426
常见的勾股数有哪些?
图片尺寸500x668