化学键分类图

免费文档 所有分类 化学键学案 地址:重庆市江北区阳光城16楼a3,a4
图片尺寸999x607
化学键】
图片尺寸375x245
kingdraw 移动端丨绘制结构式第一步——化学键的添加
图片尺寸443x462
免费文档 所有分类 自然科学 化学 化学键 晶体类型 电子式 c.
图片尺寸1890x1855
化学键分为哪三种
图片尺寸500x334
酰胺键是生物活性分子的重要组成部分,其中包括多肽,蛋白,化学探针
图片尺寸2055x1386
【化学键】π键
图片尺寸1728x1080
免费文档 所有分类 知识讲解_化学键(基础) 共价化合物:气态氢化物,含
图片尺寸649x471
不同结合键对所在物质性能的影响(见表1-1-6) 表1-1-6 不同结合键对
图片尺寸617x651
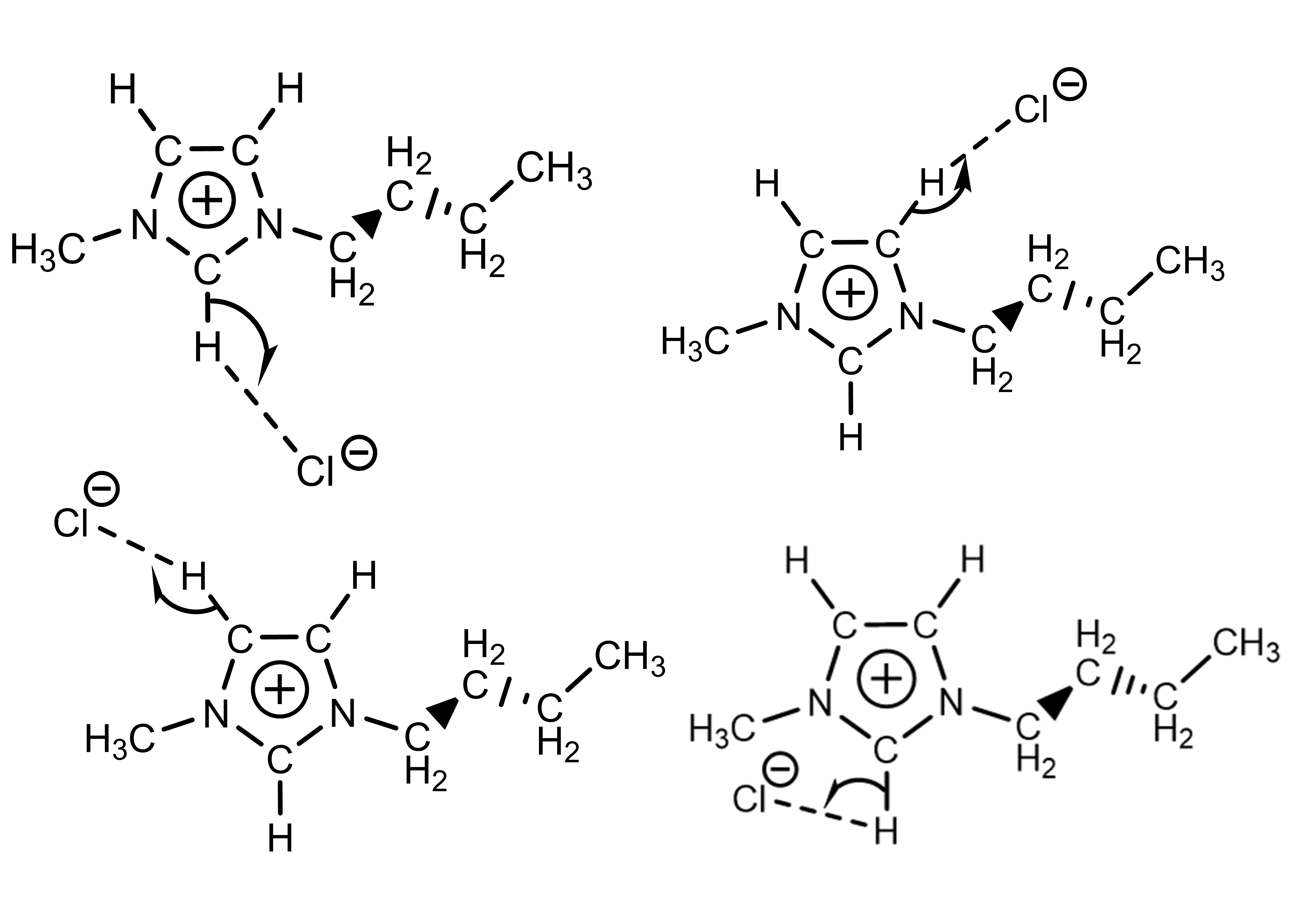
西华大学学报(自然科学版)
图片尺寸3150x2707
化学键与物质类别的判断方法
图片尺寸1701x1506
文档下载 所有分类 高中教育 理化生 > 专题:化学键专题:化学键 化学
图片尺寸665x382
文档下载 所有分类 > 1 化学键类型及其与物质类别的关系(生)【典例1
图片尺寸824x417
高中化学有机物的分类命名成键特点
图片尺寸604x710
无忧文档 所有分类 高中教育 理化生 高一理化生 化学键ppt 化学式 h2
图片尺寸1080x810
z键
图片尺寸5779x4141
无忧文档 所有分类 高中教育 理化生 化学键复习答案ppt
图片尺寸1080x810
什么是化学键分子和分子为什么有力
图片尺寸1392x576
化学键与分子极性及物质类别的关系
图片尺寸518x321
什么是化学键?
图片尺寸680x641