医院ER图

医院er图
图片尺寸1578x1461
医院信息系统的er图归纳
图片尺寸920x1302
医院门诊信息管理er图
图片尺寸1584x1095
数据库课程设计医院门诊管理系统er图数据流程图
图片尺寸1089x587
医院门诊管理系统数据库设计 目录 医院门诊管理系统数据库设计 er图
图片尺寸1777x1328
住院管理信息系统的er图
图片尺寸800x1132
某医院住院部管理系统(医院e-r图)ppt
图片尺寸1080x810
无忧文档 所有分类 it/计算机 病房管理系统 简单的er流程图 病房管理
图片尺寸757x645
医院管理系统er图
图片尺寸884x634
er图e-r 图,医院 {病人名称,病人床位,医院地点,医师,医师编号,包含
图片尺寸736x436
医院信息系统的er图
图片尺寸300x424
基于springboot和vue实现的医院预约挂号管理系统
图片尺寸1110x874
医院住院部管理系统ppt
图片尺寸1080x810
文档下载 所有分类 it/计算机 > 医院e-r图 数据库这个er图有11个联系
图片尺寸474x543
软件工程实验-医院患者监护系统设计
图片尺寸1082x546
学习医疗er图
图片尺寸791x989
数据库课程设计医院门诊管理系统er图数据流程图
图片尺寸845x316
某学员为医院"住院管理信息系统"设计了数据库的er模型,对医生,护士
图片尺寸497x494
医院的管理信息系统~病人,医生,医药e-r图,大神求画图啊
图片尺寸426x568
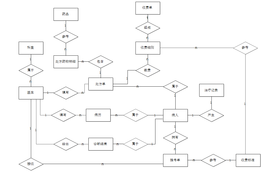
数据库课程设计医院门诊管理系统er图数据流程图
图片尺寸1064x689