十字交叉条形基础

十字交叉梁基础
图片尺寸421x266
基础工程 十字交叉基础
图片尺寸1080x810
基础埋深1.2米已经到老土层,基础是柱下十字交叉条形基础,基础宽度1.
图片尺寸921x691
可以沿柱网纵横方向设置钢筋混凝土条形基础,形成十字交叉基础
图片尺寸447x210
桩基础ppt 十字交叉条形基础
图片尺寸1080x810
柱下十字交叉基础.jpg
图片尺寸760x524
十字交叉基础是基础工程中的一项内容,指柱下条形基础在柱网的双向
图片尺寸688x556
1概述 柱下单向条形基础 b) 十字交叉条形基础 c) 平板式筏板基础
图片尺寸1080x810
常见基础有2大类7小类你都知道吗
图片尺寸640x383
十字交叉基础是基础工程中的一项内容,指柱下条形基础在柱网的双向
图片尺寸258x299
条形基础
图片尺寸922x691
十字交叉基础是基础工程中的一项内容,指柱下条形基础在柱网的双向
图片尺寸260x466
基础工程课件ppt 第 7 章 天然地基上浅基础的设计 2)柱下条形基础
图片尺寸1080x810
它是条形基础的加强版,当地基条件较差,而房屋荷载却较大的情况下,将
图片尺寸596x392
十字交叉基础是基础工程中的一项内容,指柱下条形基础在柱网的双向
图片尺寸267x194
基础工程学-第4章柱下十字交叉基础精要.pptx
图片尺寸1152x864
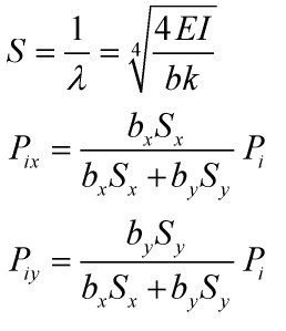
【多选题】现有2轴和f轴线上钢筋混凝土条形基础十字相交,如图2所示,2
图片尺寸860x470
(5) 深基础
图片尺寸361x549
按结构形式可分为墙下条形基础,柱下条形基础,柱下交叉条形基础(图3).
图片尺寸366x256
条形基础
图片尺寸713x556