卟啉怎么读

卟啉怎么读?
图片尺寸474x314
歌露白漱口水真的是让我后悔怎么才知道!-完全不辣口!每次漱口都感
图片尺寸1080x1440
卟啉症吸血鬼病ppt
图片尺寸800x600
狗狗泪痕丑的像红蚯蚓,你陷入的三大误区!
图片尺寸300x262
降温啦秋天的第一杯卟啉卟啉冰拿铁75
图片尺寸1080x1080
卟啉怎么读(卟啉是什么东西)
图片尺寸900x900
心理罪卟啉症是什么疾病卟啉症怎么读
图片尺寸920x1302
卟啉属于铁元素的细胞类#比熊泪痕 #狗狗去泪痕 #宠物去泪痕 #狗狗
图片尺寸1080x1439
戊酸钠片用于抗癫痫外,还可用于治疗热性惊厥,运动障碍,舞蹈症,卟啉症
图片尺寸1000x1000
一起工作呢"97《促醒者》第7集里,女患者张蔷薇患上了间歇性卟啉病
图片尺寸1080x658
菌紫质光致变色在全息存储中的应用研究
图片尺寸968x1524
性肠梗阻,肠粘连,肠系膜血管病变,腹型癫痫,腹型过敏性紫癜,血卟啉病
图片尺寸500x370
好想知道怎么样才可以拥有真的卟啉卟啉的大眼睛呀#大眼睛 #吸猫
图片尺寸1080x807
怎样保护视力读这里你就懂了
图片尺寸500x500
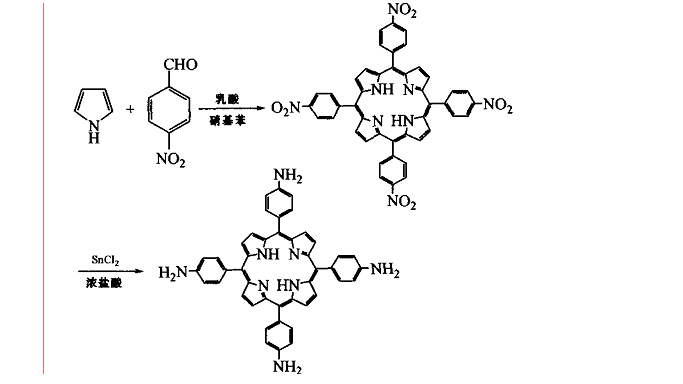
【讨论】四硝基卟啉还原成四氨基卟啉
图片尺寸683x384
cas609365686porpph2tbpp四4羧基11联苯基卟啉
图片尺寸426x438
绿的都是菜,动的都是肉|食物与生物多样性
图片尺寸1080x1439
卟啉与金属卟啉化合物
图片尺寸800x600
2016年执业药师西药综合知识与技能考试真题命中率为100%
图片尺寸554x341
犬的泪痕呈红棕色,这是因为狗眼泪里所含的97卟啉96的颜色所以
图片尺寸680x905