卷积定理

卷积公式
图片尺寸640x573
08 卷积特性(卷积定理)ppt
图片尺寸1080x810
卷积定理 时域卷积定理若 f1 t f1 , f 2 t f2 则 f1 t f
图片尺寸1080x810
信号与系统卷积特性卷积定理
图片尺寸657x570
时域卷积定理的证明
图片尺寸1080x810
2-7 卷积的性质ppt
图片尺寸1080x810
卷积及其应用
图片尺寸1156x815
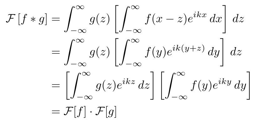
频域卷积定理证明
图片尺寸893x353
3 1 .信号的时域分解 (1) 预备知识 卷积积分 问 f1(t) = ?
图片尺寸1080x810
循环卷积定理证明.png
图片尺寸474x524
卷积定理及常见傅里叶变换表 卷积与傅里叶变换 - 开发者知识库
图片尺寸591x782
傅里叶积分变换的卷积定理,这里做w-x=u后为什么积分上下限变了,在下
图片尺寸665x457
圆周卷积线性卷积举例
图片尺寸1080x810
proof卷积公式推导及应用
图片尺寸720x294
计算卷积的方法
图片尺寸1080x810
卷积积分基础
图片尺寸1080x810
5 卷积积分ppt
图片尺寸1080x810
卷积定理
图片尺寸818x391
卷积定理举例
图片尺寸1080x810
8卷积特性(卷积定理)
图片尺寸1080x810