去乙酰毛花

去乙酰毛花苷注射液 2ml:0.4mg*5支 成都倍特药业有限公司
图片尺寸4032x3024
通 用 名 去乙酰毛花苷注射液
图片尺寸640x560
去乙酰毛花苷注射液400ug:2mlx5
图片尺寸800x800
检索去乙酰毛花苷
图片尺寸400x400
去乙酰毛花苷注射液价格对比2支倍特药业
图片尺寸520x390
去乙酰毛花苷注射液
图片尺寸3776x2520
去乙酰毛花苷注射液
图片尺寸887x1920
化科 绿叶b24401-20mg 去乙酰毛花苷丙desacetyllanatoside c17598-65
图片尺寸800x800
去乙酰毛花苷注射液
图片尺寸800x800
去乙酰毛花苷注射液
图片尺寸561x372
去乙酰毛花苷注射液
图片尺寸2048x1536
去乙酰毛花苷注射液
图片尺寸380x257
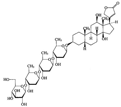
去乙酰毛花苷的理化性质
图片尺寸532x433
去乙酰毛花苷注射液
图片尺寸604x603
去乙酰毛花苷生产厂家供应商
图片尺寸365x365
去乙酰毛花苷
图片尺寸445x300
p>去乙酰毛花苷,用于急,慢性收缩性心功能不全,心房颤动和阵发性室上
图片尺寸488x432
去乙酰毛花苷注射液说明书
图片尺寸920x1303
去乙酰毛花苷注射液400ug:2mlx5
图片尺寸800x800
现货销售高纯度抗心律失常药去乙酰毛花苷
图片尺寸454x311