双酚A环氧树脂分子式

双酚a型环氧树脂_反应_分子_两步
图片尺寸1080x444
双酚a型环氧树脂的反应方程式
图片尺寸2150x738
中文名 双酚a型环氧树脂 cas号 25085-99-8 溶解性 分子量 340
图片尺寸607x224
双酚a型环氧树脂
图片尺寸605x375
双酚a型环氧树脂 制备化学反应式
图片尺寸640x745
双酚a型环氧树脂分子式
图片尺寸250x66
双酚a型环氧树脂
图片尺寸550x196
双酚a型环氧树脂
图片尺寸268x268
e-44(6101)双酚a 液体环氧树脂 武汉市狮子山厂家供应
图片尺寸598x243
【厂家直销】耐黄变氢化双酚a环氧树脂
图片尺寸490x280
双酚a型环氧树脂
图片尺寸1200x800
双酚a甲醛环氧树脂
图片尺寸666x511
环氧树脂合成方程式中,为什么双酚a的系数是n-1,环氧氯丙烷的系数是n
图片尺寸945x528
环氧树脂合成方程式中,为什么双酚a的系数是n-1,环氧氯丙烷的系数是n
图片尺寸924x434
双酚a环氧树脂的生产应用
图片尺寸1930x967
双酚a型环氧树脂
图片尺寸230x230
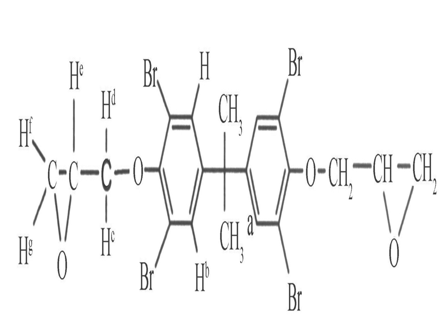
p>溴代二酚基丙烷环氧树脂 (简称ex—型树脂),又称溴代双酚a环氧树脂
图片尺寸1516x1138
环氧树脂
图片尺寸633x474
双酚a生产环氧树脂过程的化学方程式
图片尺寸495x138
双酚a
图片尺寸284x180