反余切函数

反余切函数的图象和性质
图片尺寸510x316
x,反余弦arccos x,反正切arctan x,反余切arccot x这些函数的统称
图片尺寸500x910
反余切函数
图片尺寸714x494
反余切函数的图象和性质: 函数名称  
图片尺寸495x368
反余切函数 y = arc cotx.jpg
图片尺寸685x561
y=arccotx 叫做反余切函数 是余切函数y=cotx x∈(0,,π)的反函数 其
图片尺寸407x203
反余切函数 y arccot x x y x y 余切函数 y cot x x
图片尺寸1080x810
反余切函数图像
图片尺寸222x225
反余割函数 - 数学百科
图片尺寸641x392
为什么x趋于负无穷的时候,arccotx不是0了呢?为什么一定是 π
图片尺寸210x154
反余切函数图像
图片尺寸300x240
反正切函数: y=arctgx , 反余切函数: y=arcctgx : 在下图中,粗线为y=
图片尺寸415x325
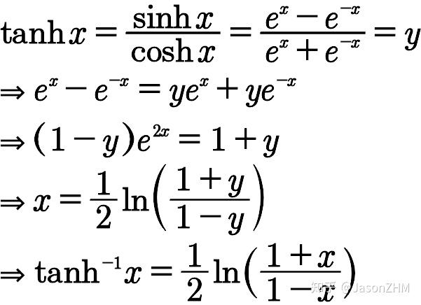
我想问一下有反双曲余切函数吗
图片尺寸601x436
反余弦函数
图片尺寸1203x789
正切-余切图像性质-反三角函数.doc
图片尺寸792x1120
复旦大学出版社 数学 课件 大学 余切函数 y = cot x y = cot x d =
图片尺寸1080x810
巧记三角函数定义
图片尺寸640x601
以正弦函数,余弦函数,正切函数,余切函数为例进行说明.
图片尺寸934x544![图 1-1-12反余弦函数,定义域为[-1,1],值域为,为有界函数,在其定义域](https://i.ecywang.com/upload/1/img0.baidu.com/it/u=1253143170,1090662169&fm=253&fmt=auto&app=138&f=JPEG?w=254&h=261)
图 1-1-12反余弦函数,定义域为[-1,1],值域为,为有界函数,在其定义域
图片尺寸254x261
名称|反正弦函数|反余弦函数|反正切函数|反余切函数(了解)| 定义|y=
图片尺寸496x702