叔氨基结构式

叔丁胺
图片尺寸624x416
叔丁胺结构式
图片尺寸255x227
叔胺
图片尺寸400x400
分类 自然科学 化学 chapter14 有机含氮化合物ppt 第二节 胺类化合物
图片尺寸1080x810
3158 备注: 结构式: 其他产品: 8-二氨基-5-甲基-6-苯基溴化菲啶翁盐
图片尺寸250x350
triethanolamine结构式
图片尺寸365x365
季铵碱>仲胺>伯胺>叔胺>芳胺>酰胺碱性大小顺序:胍季脂芳酰④pka11
图片尺寸573x484
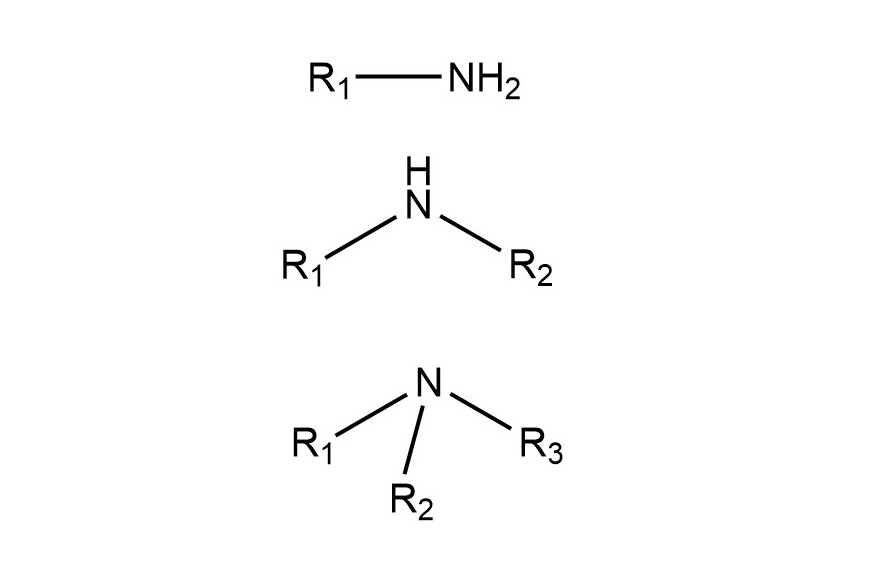
胺
图片尺寸870x580
2叔丁胺
图片尺寸300x300
指出下列结构式所代表的物质各属于哪一类化合物(例如:伯,仲,叔胺或
图片尺寸503x489
十二/十八烷基二甲基叔胺供应产品图片
图片尺寸300x300
第11章含氮有机化合物剖析.ppt
图片尺寸960x720
十二烷基二甲基叔胺结构式
图片尺寸250x250
n-甲基-叔丁基胺
图片尺寸493x473
c16-22-烷基二甲基叔胺(cas:75444-69-8) 结构式图片
图片尺寸484x300
有机化学中的重排反应③
图片尺寸1080x860
十八烷基二甲基叔胺
图片尺寸250x250
6-叔丁基吡啶-3-胺结构式_39919-70-5结构式
图片尺寸300x300
椰油基二甲基叔胺
图片尺寸484x300
交联成体型网状结构一般含有活泼氢,反应中伴随氢原子转移,如多元伯胺
图片尺寸553x234