取整函数图像

二. 取整函数
图片尺寸8898x5156
所有分类 高等教育 理学 高等数学_清华大学出版社ppt (2) 取整函数 y
图片尺寸1080x810
关于取整函数一点浅薄的研究(一) - 知乎
图片尺寸3036x1995
所有分类 高等教育 理学 数学分析1-34 函数ppt (4) 【取整函数 】y=
图片尺寸1080x810
取整函数 数形结合 函数的值域 函数的单调性 咱 - 抖音
图片尺寸1013x939![光子问答精选[30]取整函数](https://i.ecywang.com/upload/1/img0.baidu.com/it/u=924868586,3209814980&fm=253&fmt=auto&app=138&f=JPEG?w=197&h=161)
光子问答精选[30]取整函数
图片尺寸197x161
数论挖坟篇gauss取整函数
图片尺寸737x737![3.作函数y=x-[x]的图像[x]是取整函数 ](https://i.ecywang.com/upload/1/img2.baidu.com/it/u=4183800067,3112513203&fm=253&fmt=auto&app=138&f=BMP?w=343&h=187)
3.作函数y=x-[x]的图像[x]是取整函数 
图片尺寸343x187
新高一数学取整函数
图片尺寸1080x810
高三数学理科一轮复习(取整函数)教师卷答案
图片尺寸726x943![作函数y=x-[x]的图像,[x]是取整函数](https://i.ecywang.com/upload/1/img1.baidu.com/it/u=3406998926,1549595502&fm=253&fmt=auto&app=138&f=JPEG?w=450&h=281)
作函数y=x-[x]的图像,[x]是取整函数
图片尺寸450x281
高等教育 工学 数学竞赛辅导 第一讲 函数,极限,连续ppt (2) 取整函数
图片尺寸1080x810
取整函数(阶梯曲线)
图片尺寸600x570![(d)取整函数f(x)=[x]在所有的整数位置都是不连续的.](https://i.ecywang.com/upload/1/img1.baidu.com/it/u=2462831086,1839839938&fm=253&fmt=auto&app=138&f=PNG?w=676&h=351)
(d)取整函数f(x)=[x]在所有的整数位置都是不连续的.
图片尺寸676x351
图1 取整函数
图片尺寸220x183
取整函数_取整函数公式
图片尺寸750x517
取整函数
图片尺寸613x293
关于excel取整函数的应用
图片尺寸600x442
excel学习笔记取整函数
图片尺寸1080x1393
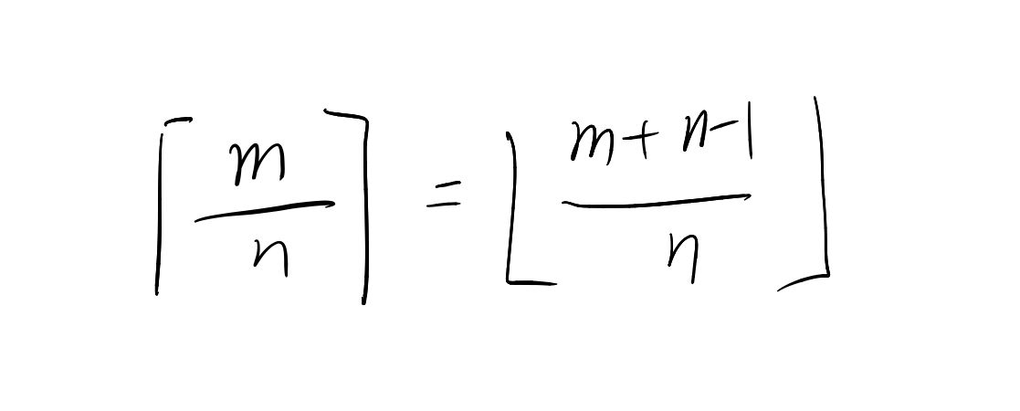
实现向上取整 - csdn
图片尺寸1117x450