古琴凤求凰唱谱

古琴谱《凤求凰》整理琴谱
图片尺寸998x1280
请问你有《凤求凰》的古琴谱吗?
图片尺寸863x1194
古琴自学连载教程进阶之《凤求凰》
图片尺寸626x835
04《凤求凰》.jpg
图片尺寸2000x3179
古琴曲《凤求凰》琴谱简谱减字谱
图片尺寸2384x3370
凤求凰-重庆张毅古琴院-名家授课-移植曲谱-重庆张毅古琴院
图片尺寸2480x3509
凤求凰(网剧《蓬莱间》 黄金屋单元主题曲 )
图片尺寸2480x3508
凤求凰古琴谱 《凤求凰》汉代司马相如为求爱卓文君所作名赋,此曲是
图片尺寸905x1280
凤求凰(古琴谱)
图片尺寸750x532
传统古琴谱【凤求凰】
图片尺寸800x1167
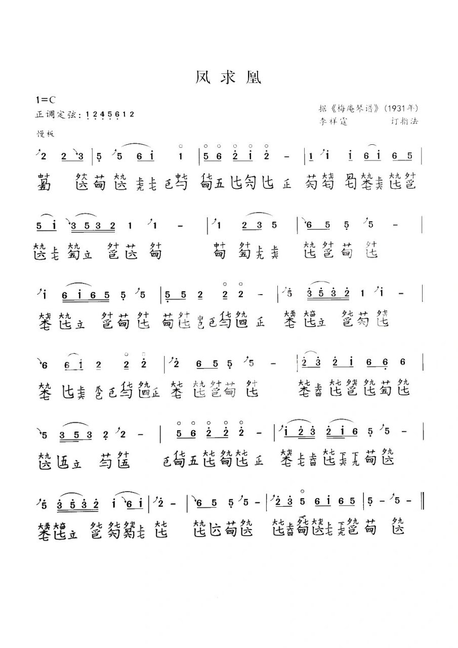
凤求凰-古琴考级曲谱第一级(2)据《梅庵琴谱》(1931年)
图片尺寸714x1011
凤求凰古琴简谱视唱梅庵琴谱1931年
图片尺寸1140x845
凤求凰古琴谱
图片尺寸714x1011
凤求凰古琴曲曲谱乐谱
图片尺寸1000x1430
曲谱分享 #古典音乐 #余惠承 #《凤求凰》 - 抖音
图片尺寸1430x2162
凤求凰古琴曲简介
图片尺寸668x851
凤求凰 古琴曲
图片尺寸400x300
67凤求凰简谱歌词
图片尺寸1240x1754
凤求凰古琴谱
图片尺寸858x1092
凤求凰 古琴谱
图片尺寸800x1197