吴大澂论语篆书

李建军,篆书《论语-宪问第十四》
图片尺寸302x600
日本"中文"教科书曝光,看到里面的内容,脸皮薄的读
图片尺寸500x284
"艺术家的率真大气儒雅风流都在马子恺身上都可以找到,他饱读诗书
图片尺寸640x766
说文解字管明锐说观从愤怒的小鸟谈起
图片尺寸270x377
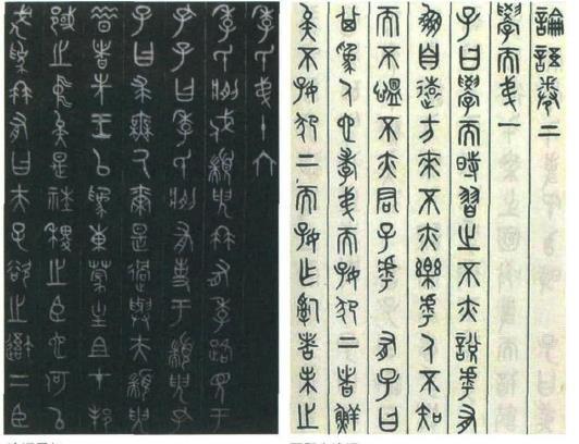
初中课文《论语十二章》吴大澂篆书版
图片尺寸600x960
敦煌九大遗书这才是真正的写经书法艺术瑰宝
图片尺寸928x1312
谈书论道 || 仇高驰:平实工稳——吴大澂篆书《论语》
图片尺寸929x1441
北京大学教授王岳川指出:马子恺的作品厚重深沉,超越了一般形式主义
图片尺寸640x739
马子恺融古创今逸趣纵横
图片尺寸640x781
初中课文《论语十二章》吴大澂篆书版
图片尺寸600x960
初中课文《论语十二章》吴大澂篆书版
图片尺寸600x960
初中课文《论语十二章》吴大澂篆书版
图片尺寸600x960
创出个人风格,又不失篆书法度……无论章法布局,刀法均达到大家手笔
图片尺寸640x762
清99吴大澂99篆书论语
图片尺寸1080x1466
初中课文《论语十二章》吴大澂篆书版
图片尺寸600x960
吴大澂,从以临为创到自书籀文,结字奇趣又不失古雅端庄_小篆_篆书
图片尺寸999x1303
杨剑篆书论语一则.杨剑书法新作 —————————— 《论语 - 抖音
图片尺寸1920x510
初中课文《论语十二章》吴大澂篆书版
图片尺寸600x960
《论语》结语:吴大澂在青年时期篆书便已取法李斯,临写秦刻石.
图片尺寸532x408
初中课文《论语十二章》吴大澂篆书版
图片尺寸600x960