哈密顿四元数

哈密尔顿的朋友约翰·格雷夫斯在四元数之后发现了第四个也是最后一个
图片尺寸1080x608
天才哈密顿,从四元数中构造出的代数系统,可以同非欧几何相媲美
图片尺寸640x366
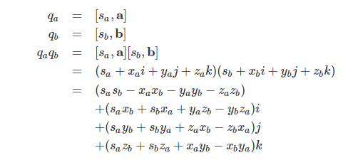
关于四元数
图片尺寸780x457
4万亿位,准确的说是31415926535897位,比2016年创下的纪录又增加数
图片尺寸653x587
哈密顿在数学上的主要贡献是发现了"四元数"
图片尺寸617x496
哈密顿和"四元数"
图片尺寸580x696
使用opencv的四元数
图片尺寸461x225
四元数
图片尺寸268x268
一个四位质数,各位相加得出的和是不是仍是质数(和为偶数除外)?
图片尺寸720x329
哈密顿和"四元数"
图片尺寸640x232
72四元数是由爱尔兰数学家威廉·卢云·哈密顿在1843年创立出的数学
图片尺寸532x367
个人开发者非团队从游戏设计到上线运营你是如何安排的
图片尺寸640x320
从欧拉公式到哈密顿四元数-csdn博客
图片尺寸357x286
四元数是什么
图片尺寸1600x900
个人关于四元数的理解总结
图片尺寸467x407
有趣的数学 四元数和八元数简述_威廉·汉密尔顿找到了四元数构造
图片尺寸375x216
四元数
图片尺寸200x93
19世纪,著名的数学家,逻辑学家哈密尔顿发明了一种新的人造数——四元
图片尺寸1000x618
深入理解四元数
图片尺寸495x232
关于四元数
图片尺寸401x263