四元一次方程

解一个四元一次方程x y=8 z-c=6 x z=13 y c=8
图片尺寸780x1052
对四次方程解法的探索
图片尺寸1685x1960
一元四次方程求解
图片尺寸1433x850
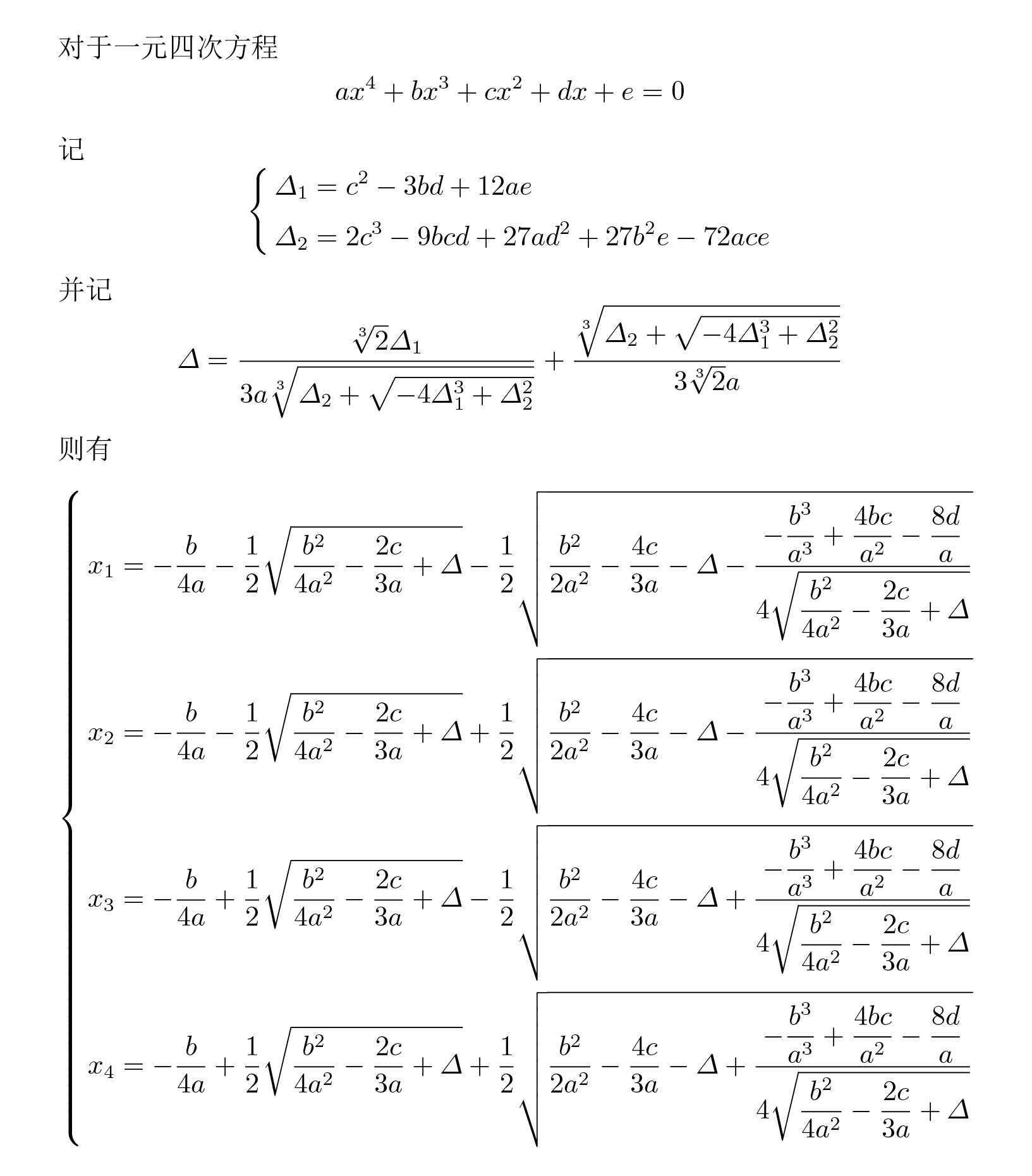
一元四次方程求根公式
图片尺寸1633x1860
19.第四章-第五节-条充
图片尺寸1280x720
巧算四元一次方程
图片尺寸450x252
这个一元四次方程如何解
图片尺寸1200x1600
小学四年级数学一元一次方程练习题
图片尺寸920x1304
解一元四次方程
图片尺寸1111x508
这个四元方程组怎么解?要具体的过程,谢了
图片尺寸450x513
一元四次方程求解简史
图片尺寸2160x1440
求一元四次方程b^4-4b^3-38b^2 84b-1323=0
图片尺寸2448x3264
谁能出一个四元一次方程
图片尺寸640x360
一元四次方程
图片尺寸565x493
一元四次方程求解 x^4-3x 1=0 , 怎么解?
图片尺寸1167x903
一元四次方程
图片尺寸483x438
这一元四次方程怎么解?过程详细一点
图片尺寸744x992
一元四次方程求根公式
图片尺寸418x259
解一元四次方程
图片尺寸578x395
一元四次方程求根公式
图片尺寸994x3686