四年级我学会了

四年级叙事作文我学会了勇敢
图片尺寸920x1302
我学会了骑平衡车,四年级单元同步作文分享
图片尺寸960x1280
四年级我学会了骑自行车作文7篇
图片尺寸920x1302
四年级作文叙事我学会了拖地400字
图片尺寸920x1302
四年级下册期末习作我学会了 - 抖音
图片尺寸1170x1541
我学会了骑自行车四年级优秀作文
图片尺寸920x1303
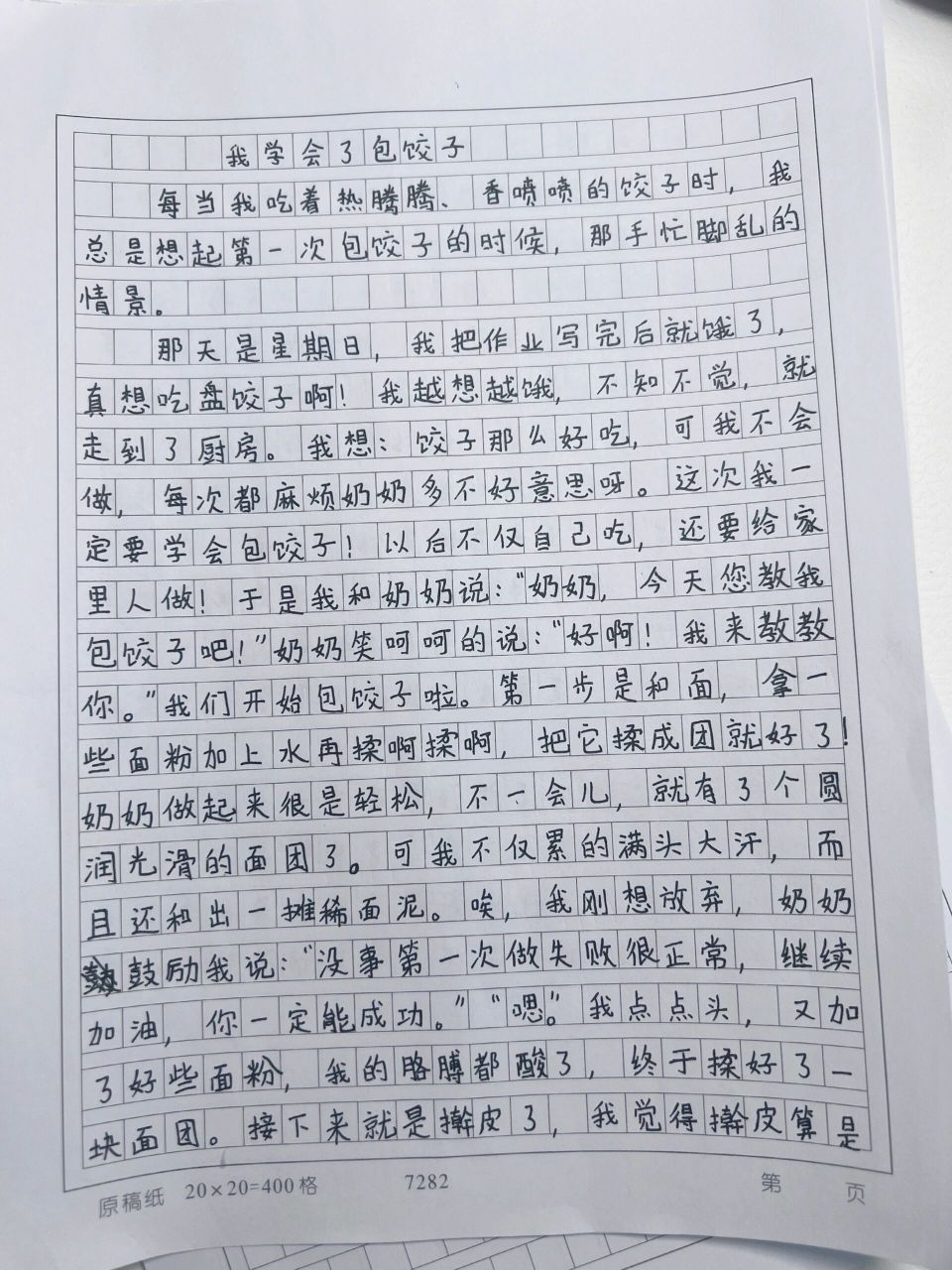
我学会了包饺子,四年级单元同步作文
图片尺寸960x1280
我学会了炒菜四年级作文
图片尺寸920x1303
四年级作文写人我学会了煎蛋400字
图片尺寸920x1302
四下 第六单元习作 我学会了_ #小学作文# #四年级下册语文# #我学会
图片尺寸960x1280
四年级下语文 作文 我学会了 这个作文题应该是我们从小到大都体验过
图片尺寸960x1280
我学会了什么四年级的500字作文5篇
图片尺寸920x1302
四年级语文下册:第六单元习作《我学会了——》优秀范文7篇
图片尺寸640x906
四年级我学会了什么作文
图片尺寸920x1302
我学会了什么四年级作文600字5篇
图片尺寸920x1191
作文我学会了跳绳四年级
图片尺寸920x1302
四年级作文我学会了打乒乓球550字
图片尺寸920x1302
四年级作文叙事我学会了做汤圆400字
图片尺寸920x1302
四年级我学会了骑自行车作文
图片尺寸920x1302
四年级习作《我学会了骑自行车》 之前的作文被我翻出来了 写的还可以
图片尺寸960x1280