四棱锥体积公式

四棱锥体积公式 - 百度文库
图片尺寸496x702
正四棱锥的高和底面对角线都为4,求它的体积和全面积
图片尺寸860x759
正四棱台体积公式
图片尺寸364x286
棱锥p一abcd的底面一边ab长为2倍根号3,侧面积为8倍根号3,则它的体积
图片尺寸2448x3264
广州一模2024年广东省广州市普通高中毕业班综合测试数
图片尺寸2480x3508
广州一模2024年广东省广州市普通高中毕业班综合测试数
图片尺寸2480x3508
广州一模2024年广东省广州市普通高中毕业班综合测试数
图片尺寸2480x3508
广州一模2024年广东省广州市普通高中毕业班综合测试数
图片尺寸2480x3508
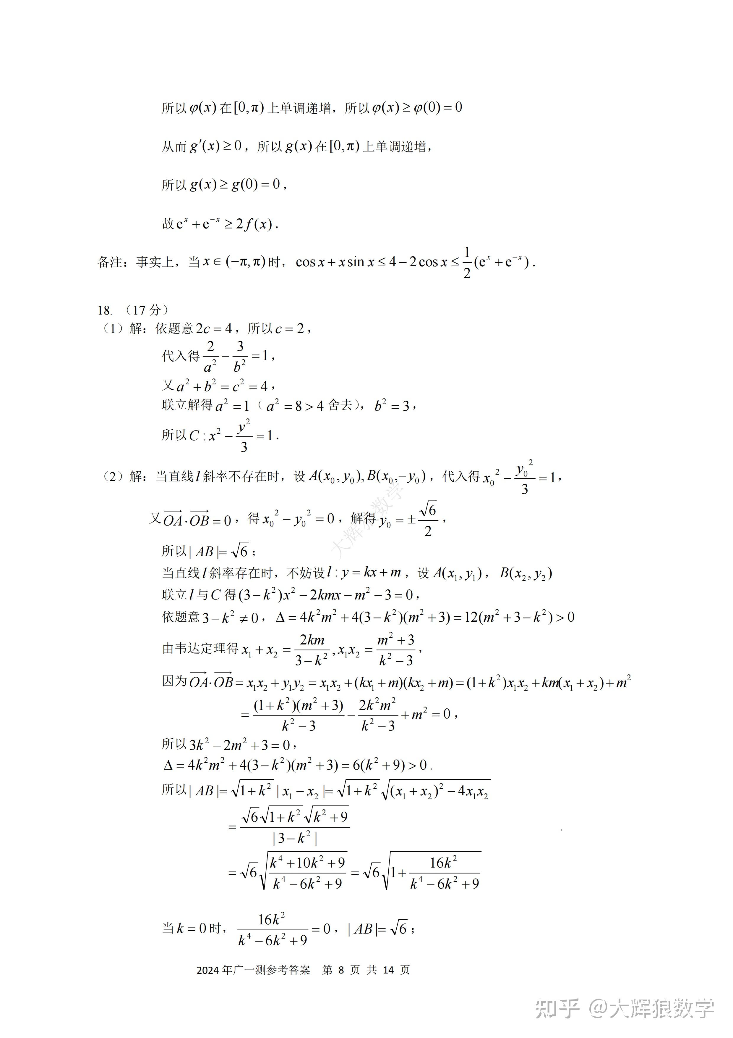
广州一模2024年广东省广州市普通高中毕业班综合测试数
图片尺寸2480x3508
广州一模2024年广东省广州市普通高中毕业班综合测试数
图片尺寸2480x3508
正四棱台体积公式
图片尺寸364x287
如何计算棱锥的体积: 8 步骤 - 搜懂网
图片尺寸728x546
u计算长方体四棱锥的表面积和体积
图片尺寸837x360
广州一模2024年广东省广州市普通高中毕业班综合测试数
图片尺寸2480x3508
或者三棱锥体积等等,我们首先要记住它的公式如:表面积公式:s(4h^2 s
图片尺寸640x341
广州一模2024年广东省广州市普通高中毕业班综合测试数
图片尺寸2480x3508
广州一模2024年广东省广州市普通高中毕业班综合测试数
图片尺寸2480x3508
正四棱锥的侧棱长为2√3,侧棱与底面所成的角为60度,求该棱锥的体积
图片尺寸780x1052
正四棱锥的侧面是等边三角形吗?
图片尺寸450x259
广州一模2024年广东省广州市普通高中毕业班综合测试数
图片尺寸2480x3508