四氢吡咯环

2,良性活动性胃溃疡.
图片尺寸1000x1000
n-甲基吡咯烷酮(英文: n-methyl-2-pyrrolidone,俗称:nmp)是2
图片尺寸740x592
四氢吡咯
图片尺寸500x500
4-hexenamide, 2-cyano-n,n-diethyl-2-fluoro-, (4e)-结构式
图片尺寸605x375
后遗症,内耳眩晕症,冠状动脉硬化及由于末梢循环不良引起的疾病等治疗
图片尺寸1000x1000
化工产品目录 医药中间体 杂环化合物 1-(哌啶-4-基)-1,3-二氢-2h
图片尺寸400x400
q:虞:
图片尺寸426x438
34212-94-7([(1s)-7α-ethenyl-1,2,3,4,4a
图片尺寸447x290![5-bromo-3-chloroh-imidazo[1,2-a]pyridine](https://i.ecywang.com/upload/1/img2.baidu.com/it/u=1015101258,3241213598&fm=253&fmt=auto&app=138&f=PNG?w=484&h=300)
5-bromo-3-chloroh-imidazo[1,2-a]pyridine
图片尺寸484x300
四氢吡咯 巴斯夫原装 山东价格
图片尺寸600x600
四氢吡咯
图片尺寸300x300
4as5s8r5678tetrahydro38dihydroxy4a5dimethylnaphthalen
图片尺寸605x375
1295402122邻氯苯基四氢吡咯
图片尺寸300x300
四氢吡咯pyrrolidine
图片尺寸283x227
小环(三元和四元)有机硼酸吡啶吡咯和四氢吡咯apioled材料中间体桥环
图片尺寸800x600
做出鲜绿的蔬菜
图片尺寸242x241
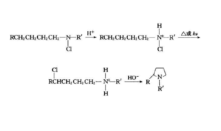
hofmann-loffler-freytag反应
图片尺寸731x434
四氢吡咯apioled材料中间体桥环化合物氨基酸和多肽固相合成linkers
图片尺寸800x600
酰基氨基-1-(噻唑-2-基)-3- (2,3,4_三氟苯基)-3,5,6,7-四氢吡咯并[i
图片尺寸1033x792
p>四氢吡咯,化学式是c4h9n,是一种无色或黄色液体,有特殊气味,见光或
图片尺寸212x125