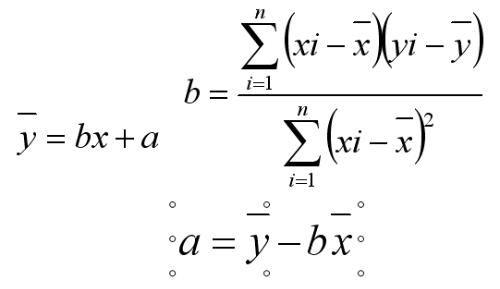
回归方程

回归直线方程的一系列公式
图片尺寸816x612
线性回归方程公式证明.doc 1页
图片尺寸1594x2255
解此方程,推导出求回归系数a,b的公式.求详细步骤!
图片尺寸576x340
回归方程公式
图片尺寸640x341
回归直线方程
图片尺寸500x289
回归方程公式
图片尺寸640x341
于是,可以得到如下的样本回归方程
图片尺寸1170x676
第三节 直线回归方程
图片尺寸462x274
代价函数 梯度下降法求一元回归方程斜率和截距 0
图片尺寸650x439
怎么求出回归直线方程的回归系数.求具体讲解
图片尺寸351x156
4《线性回归方程》(2)(苏教版必修三) (1)ppt
图片尺寸1080x810
求回归直线方程
图片尺寸480x198
怎么求回归方程?
图片尺寸450x599
线性回归方程
图片尺寸1026x889
回归算法之非线性回归
图片尺寸556x687
回归方程公式
图片尺寸640x341
最小二乘法与线性回归方程
图片尺寸920x1303
二次线性回归方程公式r高中数学线性回归方程
图片尺寸455x240
线性回归方程a,b值的计算公式
图片尺寸323x216
logistic回归分析ppt
图片尺寸1080x810