回溯算法

回溯法流程图
图片尺寸1210x796
2.dfs(回溯)问题
图片尺寸2512x1332
回溯算法的设计思路
图片尺寸5720x5020
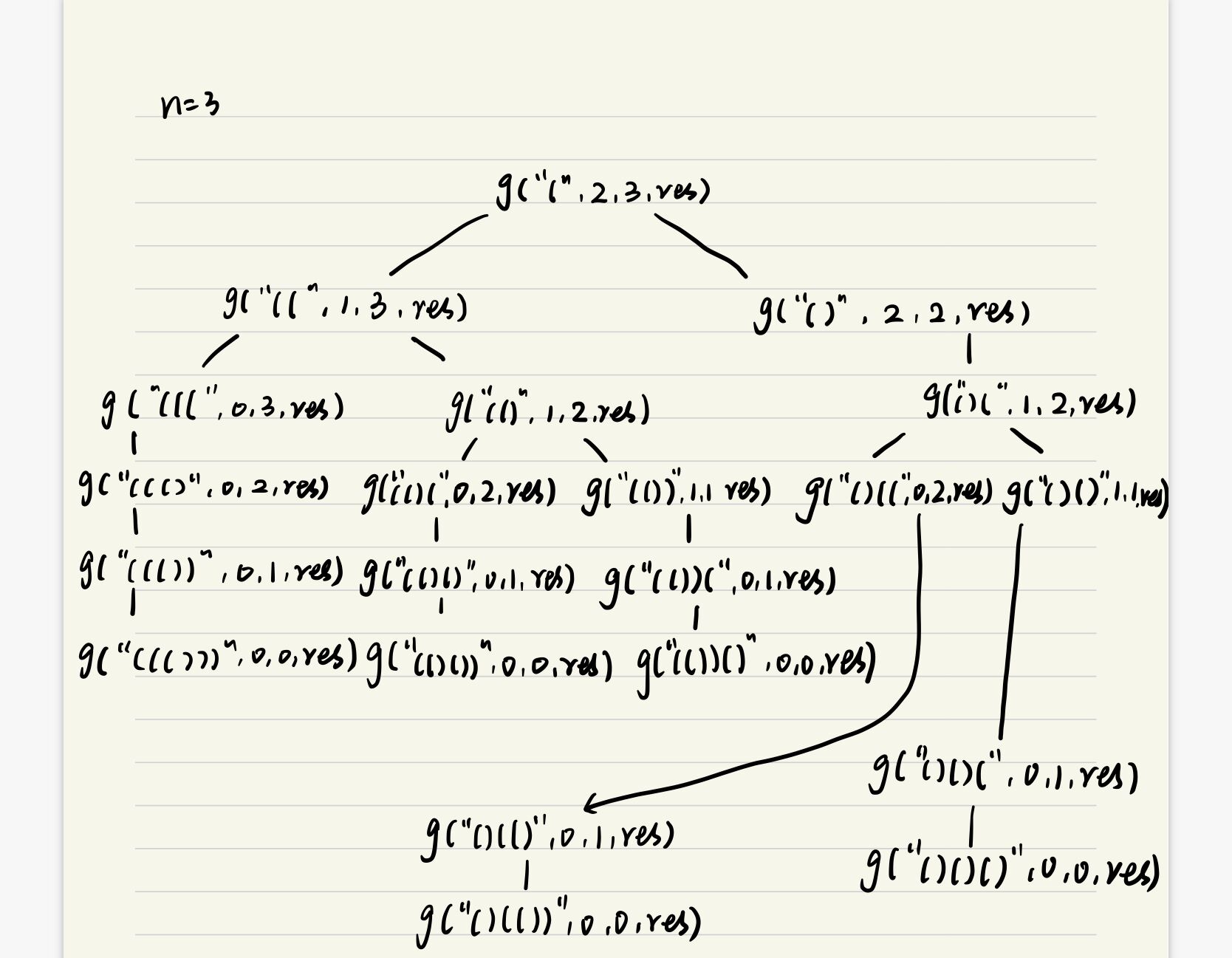
回溯算法深度优先搜索
图片尺寸2034x1394
基本算法-回溯法(迷宫问题)
图片尺寸631x767
c回溯算法
图片尺寸1668x1297
常用算法之回溯法
图片尺寸1280x629
本周小结回溯算法系列三
图片尺寸1978x942
leetcode回溯类问题总结「一文搞懂回溯算法」
图片尺寸1725x1345
搜索算法之回溯算法附模板
图片尺寸1894x956
回溯算法有固定的框架框架.
图片尺寸2150x851
算法设计与分析使用回溯法实现01背包问题回溯法的基本回顾
图片尺寸2160x1620
回溯算法解子集,组合,排序
图片尺寸776x434
c回溯算法背包问题解析
图片尺寸706x437
leetcode017-----------回溯算法(还有待深入研究)
图片尺寸641x472
算法设计回溯法相关概念
图片尺寸700x386
递归回溯算法
图片尺寸2560x1440
leetcode通关连刷十四题回溯算法完全攻略
图片尺寸877x455
leetcode46全排列回溯算法详细图解
图片尺寸1844x952
四皇后问题(回溯法)
图片尺寸650x460