地尔硫卓结构

盐酸地尔硫卓
图片尺寸1085x499
执业西药师结构之地尔硫30
图片尺寸405x308
地尔硫卓结构式
图片尺寸195x258
盐酸地尔硫卓结构式
图片尺寸330x256
盐酸地尔硫卓注射液
图片尺寸374x182
去乙酰基盐酸地尔硫卓结构式
图片尺寸605x375
cas:23515-45-9_去乙酰基盐酸地尔硫卓的分子结构
图片尺寸484x300
地尔硫卓-d6结构式图片|1242184-41-3结构式图片
图片尺寸605x375
盐酸地尔硫卓杂质f结构式图片|625471-04-7结构式图片
图片尺寸605x375
地尔硫卓杂质, 1242184-41-3, 结构式
图片尺寸414x269
盐酸地尔硫卓杂质结构式图片|370094-12-5结构式图片
图片尺寸605x375
o-去甲基地尔硫卓
图片尺寸178x125
去乙酰地尔硫卓,42399-40-6,结构式
图片尺寸350x261
diltiazem n-oxide
图片尺寸415x262
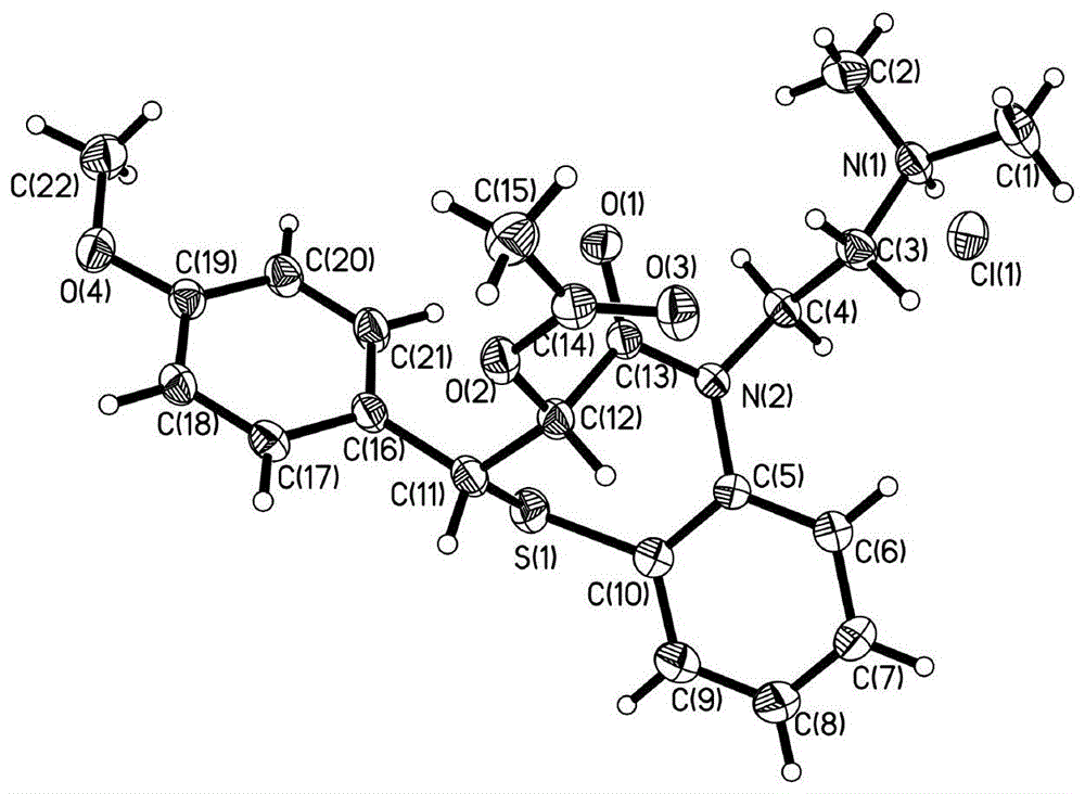
然后升温溶解,加入活性炭,过滤,结晶;本发明解决了地尔硫卓产品结构
图片尺寸1000x732
地尔硫卓杂质b
图片尺寸286x248
盐酸地尔硫卓缓释胶囊(Ⅱ)
图片尺寸250x86
盐酸地尔硫卓片
图片尺寸250x104
地尔硫杂质h结构式图片|115992-91-1结构式图片
图片尺寸605x375
地尔硫卓盐酸盐
图片尺寸589x325