均值

均值不等式重要公式
图片尺寸920x1302
参数估计的均值 - csdn
图片尺寸819x367
均值-标准差控制图
图片尺寸847x668
均值滤波
图片尺寸711x268
均值回归策论—一种比较稳健的方式.
图片尺寸1242x1660
opencv计算机视觉学习4图像平滑处理均值滤波高斯滤波中值滤波双边
图片尺寸369x267
数理探秘k均值算法kmeans
图片尺寸1080x888
均值u, 标准差 西格玛,方差 西格玛平方
图片尺寸319x297
资产组合选择和资本市场的均值
图片尺寸542x800
(1)均值:均值为所以数据的平均值.
图片尺寸352x119
为什么学霸父母,生出的孩子大多都是"学渣"?这叫均值回归
图片尺寸640x442
均值定理如图
图片尺寸540x960
所谓人生不过是一场均值回归
图片尺寸1080x908
数学中均值不等式?
图片尺寸500x330
高中数学自主招生教材上删掉的均值不等式究竟多好用
图片尺寸1920x1080
均值回归
图片尺寸529x195
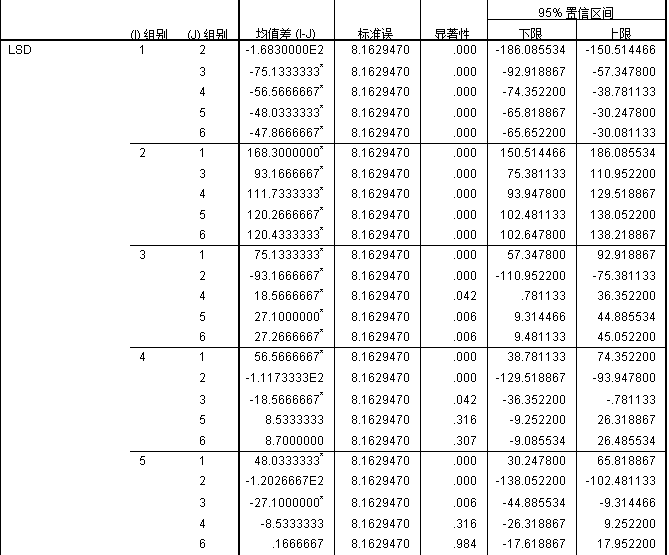
spss均值差分析
图片尺寸669x555
总体均值的标准差已知
图片尺寸1872x1470
一轮复习60均值不等式不会求最值的宝子来
图片尺寸1080x1439
五群体均值区间估计σ已知
图片尺寸1016x517