塑性流体

宾汉流体 流 动 曲 线 假塑性流体 粘 度 牛顿流体 曲 线 膨胀性流体
图片尺寸1080x810
3管内流体流动现象ppt 非牛顿型流体 塑性流体 牛顿流体 涨塑性流体
图片尺寸1080x810
溶于水后水溶液是清澈透明的,像糖稀一样也就是有一定粘稠度和假塑性
图片尺寸260x260
weifangxiandaiplastics
图片尺寸1180x787
高分子流变学复习答案ppt 流动曲线的分析 典型的假塑性非牛顿流体的
图片尺寸1080x810
流体在外力作用下流动或有流动趋势时,流体内分子间的的内聚力要阻止
图片尺寸642x420
纳米流体技术及其应用
图片尺寸642x365
基本原理 τ b d n η b d p n p τc γ n:牛顿流体 p:假塑性流
图片尺寸1080x810
揭秘实验住在厨房的舞者
图片尺寸600x479
pvc塑料粉体用粉体改性剂
图片尺寸894x804
流体力学黏性怎么理解
图片尺寸1000x456
化工软件
图片尺寸1744x1553
的流体,较为重要且研究较多的有:宾哈流体,假塑性流体和胀塑性流体等
图片尺寸600x351
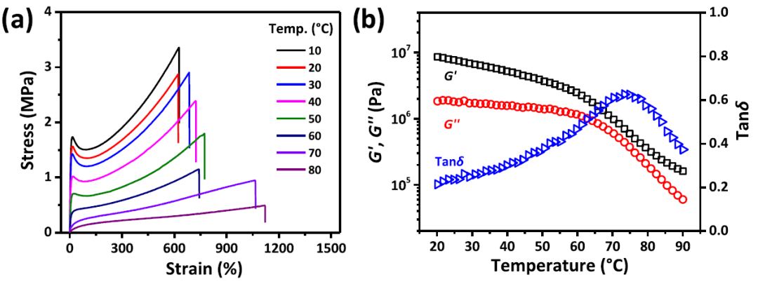
以聚电解质/表面活性剂复合物为交联点的类塑料超分子水凝胶
图片尺寸1080x405
基础ppt 典型的流动曲线(flow behavior) 牛顿流体 stress 假塑性流体
图片尺寸1080x810
非牛顿流体的分类及其特点 (1)非牛顿流体的分类 与牛顿型流体相比
图片尺寸1080x810
时产生的剪切速率的变化情况,可把流体分为4种类型:牛顿流体,塑性流体
图片尺寸605x454
着色油墨体系,多数为塑性流体,当剪切力足够大时得到的曲线近似为直线
图片尺寸1009x522
18非牛顿流体流动ppt
图片尺寸800x600
进一步说沼泽其实属于假塑性宾汉流体吧 都有一个屈服值,只有当受到的
图片尺寸1080x1026