复数的运算法则

复数运算的基本法则
图片尺寸920x1302
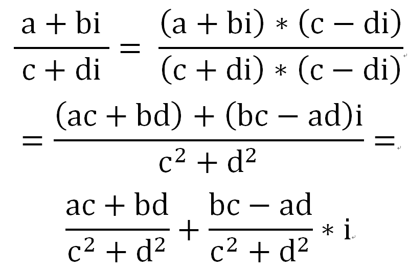
复数运算法则
图片尺寸694x499
复数篇:大学数学学习不得不知道的基础公式与结论
图片尺寸1241x2094
2016高考数学备考复数常用公式
图片尺寸435x458
复数运算图解法应用.复数运算 - 抖音
图片尺寸742x562
复数运算法则
图片尺寸800x533
复数运算法则
图片尺寸685x515
复数运算35
图片尺寸1440x810
复数的运算公式是由实数法则迁移而成的,满足平方差公式,只是复数分
图片尺寸640x341
2 复数的运算.doc
图片尺寸794x1123
复数z的n次方的模等于那个……的证明,复数z的n次方的模等于z的模的n
图片尺寸484x437
高中数学专题一复数
图片尺寸1080x1439
高中数学知识汇总表格复数
图片尺寸1080x682
复数与复变函数
图片尺寸872x1242
高三数学复数的运算2ppt
图片尺寸1080x810
高中数学知识点表格总结—复数
图片尺寸972x434
复数的四则运算(2个课时)【知识建构 高效助教】 高一数学 (人教a版
图片尺寸2000x1125
2013年高考数学(理科)一轮复习课件第72讲:复数的概念及运算答案ppt
图片尺寸1062x807
2可数名词单数变复数规则总结
图片尺寸1080x1054
复数运算法则 - 百度文库
图片尺寸496x702