多巴胺方程式

个性创意多巴胺化学方程式汽车贴纸爱情恋爱装饰防水反光镂空可爱
图片尺寸800x800
多巴胺分子,骨架分子式
图片尺寸800x1200
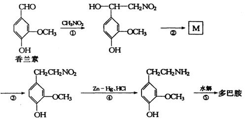
试回答下列问题:(1)多巴胺的分子式为 ,多巴胺属 (填"酸性 .
图片尺寸424x237
还含有官能团的名称是 .(2)多巴胺的分子式是 .(3)上述合成
图片尺寸483x265
是人体大脑中的一种有机物质叫做多巴胺.
图片尺寸464x175
多巴胺分式.(图片来源:北京日报)
图片尺寸400x244
多巴胺化学方程式适用苹果14promax手机壳13情侣12小米11ultra华为
图片尺寸800x800
再经锌还原水解而得,合成过程如下:已知多巴胺的结构多巴胺化学方程式
图片尺寸408x146
再变 快乐方程式潮酷手臂防水持久草本纹身贴半永久多巴胺极简风
图片尺寸800x800
儿茶酚胺,α-甲基多巴胺和多巴胺的毒性来源于3,4-(亚甲基二氧基)苯
图片尺寸539x185
(15分)多巴胺是一种重要的中枢神经传导物质,用来帮助细胞传送脉冲的
图片尺寸497x247
盐酸多巴胺的化学结构为
图片尺寸500x224
c8h11no2是多巴胺方程式
图片尺寸690x460
iii,多巴胺分子中羟基处于苯环上不同位置时的同分异构体共有种(苯环
图片尺寸499x243
催产图片
图片尺寸452x300
从多巴胺的另一个别称——「 让你感觉良好的神经传递物质」(feel
图片尺寸960x851
再变 快乐方程式潮酷百搭手臂防水持久纹身贴草本半永久多巴胺
图片尺寸800x800![大脑内常见的几种激素化学方程式如图[愉快]书摘《贪婪的多巴胺》1](https://i.ecywang.com/upload/1/img2.baidu.com/it/u=2080854416,1183541754&fm=253&fmt=auto&app=138&f=JPEG?w=800&h=480)
大脑内常见的几种激素化学方程式如图[愉快]书摘《贪婪的多巴胺》1
图片尺寸800x480
贪婪的多巴胺原来多巴胺跟快乐没关系
图片尺寸1080x1439
多巴胺
图片尺寸555x473